ТСМ-№3 (1088238), страница 4
Текст из файла (страница 4)
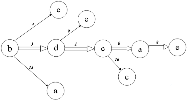
min = 3 => выбираем путь (b — d).
Переходим к точке d на всей популяции.
Далее выбираем P2:(d — e) — целевая функция = 9 (два раза )
P3: (d - c ) - целевая функция = 1
min = 1 => выбираем (d — c)
Переходим к точке с (на всей популяции).
Далее выбираем:
P1 (с — d) — цикл
P2 (c — a) - целевая функция = 6
P3 (c - e ) - целевая функция = 10
min = 6 => выбор (с — а)
Переходим к точке а:
Далее выбор:
P1 (с —b) — цикл
P2 (c — b) - цикл
P3 (c - d ) - цикл
Поэтому выбираем ранее не рассматриваемый ген е.
Схематически процесс реализации оператора «жадного» кроссовера изображена на рисунке:
Т.е. хромосома-потомок имеет вид:
P1: b d c a e
Суммарное значение целевой функции для р'1:
3 + 1 + 6 + 8 = 18!!!
Для
P1: φ = 15 + 4 +1 + 9 = 29
P2: φ = 3 + 9 + 10 + 6 = 28
P3: φ = 2 + 15 +7 +1 = 25
Построим хромосому — потомок P'2
Рассмотрим точку кроссовера на р2:
Выбираем
P2: (d — e) → частичная целевая функция = 9
P1: (d — e) → = 9
P3: (d — c) → = 1
min = 1 — выбираем путь (d — c)
Далее выбираем:
P1: (с — d) → цикл
P2: (c — a) → частичная целевая функция = 6
P3: (c — e) → = 10
min = 6 — выбираем путь (с — а)
Далее выбираем
P1: (а — b) → частичная целевая функция = 15
P2: (a — b) → частичная целевая функция = 15
P3: (a — d) → цикл
min = 15 → выбираем путь (a — b)
Далее выбираем:
P1: (b — c) → цикл
P2: (b — d) → цикл
P3: (b — a) → цикл
Тогда выбираем ранее не рассматриваемый ген: е.
Получим: P'2 = d c a b e
целевая функция: 1 + 6 + 15 + 2 =24
Построим хромосому — потомок P'3:
Рассмотрим точку кроссовера на P3:
Выбираем:
P3: (b — a) → частичная целевая функция = 15
P1: (b — c) → частичная целевая функция = 4
P2: (b — d) → частичная целевая функция = 3
min = 3 → выбираем путь (b — d)
Далее выбираем:
P1: (d — e) → частичная целевая функция = 9
P2: (d — e) → частичная целевая функция = 9
P3: (d — c) → частичная целевая функция = 1
min = 1 → выбираем путь (d — c)
Далее выбираем:
Далее выбираем:
Поэтому выбираем тот член, который ранее не встречался –
.
Таким образом, получили
(совпадает с
).
Ц.ф.
.
Таким образом, получим следующее поколение хромосом:
Построим следующее поколение потомков:
-
Выбираем:
-
Переходим к точке a:
-
Переходим к точке e:
-
Переходим к точке b:
Выбираем путь
(и так как он ещё не встречался).
Построим хромосому-потомок
Выберем точку кроссовера на
Переходим в точку e.
Переходим к точке b.
Выбираем путь
(так как ген c ещё не встречался).
Построим хромосому-потомок
Выбираем точку кроссовера на
Переходим к точке a:
Переходим к точке e:
Переходим к точке b.
Выбираем
(т.к. ген d еще не встречался)
Получим новое поколение хромосом:















