Задачи 1-8 вариант 20 (1077429)
Текст из файла
Сидякин Артём - ИУ5-41 – 20 вариант
--------------------------------------------
Задача №1. Достаточным условием сдачи коллоквиума является ответ на 2 из 3-х вопросов, предлагаемых преподавателем студенту. Студент не знает ответов на 8 вопросов из 45-ти, которые могут быть предложены. Какова вероятность того, что студент сдаст коллоквиум?
Решение:
Общее число элементарных исходов
Число благоприятных исходов
Задача №2. По самолету производится четыре независимых выстрела, в каждом из которых вероятность попадания снаряда P=0.3. Самолет поражается с вероятностью 1, если в него попало не менее 2-х снарядов и с вероятность 0,6 если попал один снаряд. Определить вероятность поражения самолета.
Решение:
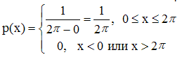
Задача №3. Случайная величина X равномерно распределена на промежутке (0; 2
). Найти математическое ожидание и дисперсию случайных величин:
Решение:
Величина X имеет плотность распределения
Определим математическое ожидание MX случайной величины X
По определению дисперсии DX случайной величины X
Математическое ожидание MY(X) функции Y(X) от непрерывной случайной величины X можно вычислить, используя формулу
Вычислим дисперсию Y(X):
Задача №4. Дана последовательность независимых случайных величин:
Случайная величина
задается следующим образом:
|
|
|
|
|
|
|
|
Можно ли применить к указанной последовательности закон больших чисел?
Решение:
К данной последовательности нельзя применить закон больших чисел, так как с вероятностью
величина принимает неопределенное значение ,и условие ограниченности дисперсии может не выполняться.
Задача 7. На основании 20 отсчетов было установлено, что в среднем для выполнения операции потребуется 1,5 мс, а оценка среднего квадратичного отклонения времени операции равна 2,1 мс. Полагая, что время операции подчиняется нормальному закону распределения, определить доверительные границы для математического ожидания и среднего квадратичного отклонения времени операции отвечающие доверительным вероятностям 0.95 и 0.90 соответственно.
Решение:
Из условий имеем
Выборочное среднее
Оценка с. к. о.
Величина
следует распределению Стьюдента с
степенями свободы. По заданной вероятности γ=0,95 и числу измерений n=20 находим из таблицы значение
, удовлетворяющие условию
, где
.
Это приводит к доверительной оценке
Аналогично для доверительной вероятности 0.90
Величина
имеет 2 – распределение с
степенями свободы. Таким образом, можно получить доверительную оценки вида
Выберем u1, u2 такими, чтоб
По таблицам распределения
находим для
Записав доверительную оценку для дисперсии в виде
Аналогично для доверительной вероятности P=0.90
Задача 8. В соответствии с техническими условиями среднее время безотказной работы для приборов из большой партии должно составлять не менее 1000 часов со средним квадратичным отклонением 100 часов. Выборочное время безотказной работы для случайно выбранных 25 приборов оказалось равным 970 часам. Предположим, что среднее квадратичное отклонение впремени безотказной работы приборов в выборке совпадает со средним квадратичным отклонением во всей партии. Можно ли считать, что вся партия приборов не удовлетворяет техническим условиям с уровнем значимости
. Контролируемый признак имеет нормальный закон распределения.
Решение:
Данная задача сводится к задаче о проверке гипотезы:
при конкурирующей гипотезе:
Рассмотрим статистику
Эта статистика имеет нормальное распределение. Критическую область определим следующим образом:
Поскольку значение статистики не принадлежит к критическому множеству, гипотезу H0 принимаем. Партия приборов удовлетворяет ТУ.
Характеристики
Тип файла документ
Документы такого типа открываются такими программами, как Microsoft Office Word на компьютерах Windows, Apple Pages на компьютерах Mac, Open Office - бесплатная альтернатива на различных платформах, в том числе Linux. Наиболее простым и современным решением будут Google документы, так как открываются онлайн без скачивания прямо в браузере на любой платформе. Существуют российские качественные аналоги, например от Яндекса.
Будьте внимательны на мобильных устройствах, так как там используются упрощённый функционал даже в официальном приложении от Microsoft, поэтому для просмотра скачивайте PDF-версию. А если нужно редактировать файл, то используйте оригинальный файл.
Файлы такого типа обычно разбиты на страницы, а текст может быть форматированным (жирный, курсив, выбор шрифта, таблицы и т.п.), а также в него можно добавлять изображения. Формат идеально подходит для рефератов, докладов и РПЗ курсовых проектов, которые необходимо распечатать. Кстати перед печатью также сохраняйте файл в PDF, так как принтер может начудить со шрифтами.
















