Пояснительная записка (1074723), страница 2
Текст из файла (страница 2)
где E(2:0) – поле кода операции в команде. По каждому коду операции только одно из логических условий В1-В7 примет значение единица.
Каждое логическое условие В1-В7 управляет запуском определенной микропрограммы операции. Поэтому по коду операции будет выполнена соответствующая операция вычислительного устройства.
Для отключения ВУ от интерфейса используется микропрограмма отключения, которая снимает сигнал занятости устройства /ЗАН=0/. По этому сигналу устройство А снимает адрес с шины адреса, освобождая интерфейс для работы с другими устройствами
Алгоритм микропрограмм подключения и отключения ВУ от общей шины представлен на рисунке № 1.
Рис 1. а. Микропрограмма подключения ВУ
Рис 1. b. Микропрограмма отключения ВУ
-
Микропрограмма операции “Сдвиг логический”.
Логический сдвиг- это такой сдвиг, при котором слово сдвигается на некоторое количество разрядов влево или вправо, а сдвигаемые разряды заменяются нулями. Знак числа при этом рассматривается как обычный разряд и не сохраняется при сдвиге, несмотря на то, что число представлено в прямом коде. Вдвигаемым разрядом всегда будет 0.
По каждой паре сигналов ЗАПР-ДАННЫЕ передается слово разрядностью 8 бит. ВУ выставляет на шину управления сигнал запроса данных ЗАПР и ждет от устройства А сигнала ДАННЫЕ. По этому сигналу ВУ принимает с входной шины переданные данные и снимает с шины управления сигнал ЗАПР.
После принятия данных в регистр-счетчик записывается количество сдвигов, которое передается в 4-7 битах команды – E(4:7). В 3 бите содержится признак направления сдвига. Если E(3) = 1 – значит сдвиг вправо, 0 – влево. Сдвиг будет происходить, пока не обнулится счетчик.
Вывод данных из ВУ в устройство А производится по сигналу РЕЗ /результат/. ВУ выдает на шины управления ШУ сигнал РЕЗ и одновременно выставляет данные /результат/ на выходную шину ШВЫХ. Устройство А принимает данные и подтверждает прием результата сигналом ПРРЕЗ, после чего ВУ снимает с шины управления сигнал РЕЗ.
Разрядность выходного слова равна 8 бит.
Алгоритм микропрограммы “Логического сдвига” представлен на рисунке 2.
Рис 2.. Микропрограмма логического сдвига.
-
Микропрограмма операции “Вычитание”.
Вычитание выполняется над целыми двоичными числами со знаком, представленными в прямом коде.
По каждой паре сигналов ЗАПР-ДАННЫЕ передается слово разрядностью 8 бит. ВУ выставляет на шину управления сигнал запроса данных ЗАПР и ждет от устройства А сигнала ДАННЫЕ. По этому сигналу ВУ принимает с входной шины переданные данные и снимает с шины управления сигнал ЗАПР.
Уменьшаемое (A) и вычитаемое (B) имеют длину по одному слову.
По первой паре сигналов ЗАПР-ДАННЫЕ с входной шины принимается вычитаемое (А), а по второй паре сигналов ЗАПР-ДАННЫЕ с входной шины принимается уменьшаемое (В).
Операция вычитания происходит в ALU. ALU работает с числами в дополнительном коде, поэтому перед операцией вычитания нужно преобразовать операнды в дополнительный код. Преобразование совершается в зависимости от знака числа – если оно положительное, то в дополнительном коде будет представлено само собой. Если отрицательное, то преобразование осуществляется по формуле:
+1. После осуществления операции в ALU результат тоже должен быть преобразован в прямой код, если он получился отрицательный.
Вывод данных из ВУ в устройство А производится по сигналу РЕЗ /результат/. ВУ выдает на шины управления ШУ сигнал РЕЗ и одновременно выставляет данные /результат/ на выходную шину ШВЫХ. Устройство А принимает данные и подтверждает прием результата сигналом ПРРЕЗ, после чего ВУ снимает с шины управления сигнал РЕЗ.
Разрядность выходного слова равна 8 бит.
Алгоритм микропрограммы операции "вычитание обратное" представлен на рисунке № 3.
Рис 3. Микропрограмма операции вычитания в прямом коде
-
Микропрограмма операции “Вычитание модулей”
Вычитание модулей выполняется над целыми двоичными числами со знаком, представленными в прямом коде.
По каждой паре сигналов ЗАПР-ДАННЫЕ передается слово разрядностью 6 бит. ВУ выставляет на шину управления сигнал запроса данных ЗАПР и ждет от устройства А сигнала ДАННЫЕ. По этому сигналу ВУ принимает с входной шины переданные данные и снимает с шины управления сигнал ЗАПР.
Уменьшаемое (A) и вычитаемое (B) имеют длину по одному слову.
По первой паре сигналов ЗАПР-ДАННЫЕ с входной шины принимается уменьшаемое (А), а по второй паре сигналов ЗАПР-ДАННЫЕ с входной шины принимается вычитаемое (В).
После того, как операнды были приняты с входной шины, они приводятся к своим модулям. Если число положительное, то оно не изменяется, а отрицательное – преобразуется в свой модуль. Для чисел в прямом коде это равносильно замене старшего бита с 1 на 0.
После этого производится операция вычитания в ALU . Если результат получился отрицательный, то нужно после операции в ALU преобразовать его из дополнительного в прямой код.
Вывод данных из ВУ в устройство А производится по сигналу РЕЗ /результат/. ВУ выдает на шины управления ШУ сигнал РЕЗ и одновременно выставляет данные /результат/ на выходную шину ШВЫХ. Устройство А принимает данные и подтверждает прием результата сигналом ПРРЕЗ, после чего ВУ снимает с шины управления сигнал РЕЗ.
Разрядность выходного слова равна 8 бит.
Алгоритм микропрограммы операции "вычитание модулей" представлен на рисунке № 4.
Рис 4. Микропрограмма операции вычитания модулей в прямом коде
Операция "
" выполняется над логическими данными.
По каждой паре сигналов ЗАПР-ДАННЫЕ передается слово разрядностью 8 бит. ВУ выставляет на шину управления сигнал запроса данных ЗАПР и ждет от устройства А сигнала ДАННЫЕ. По этому сигналу ВУ принимает с входной шины переданные данные и снимает с шины управления сигнал ЗАПР.
Оба операнда (А и В) имеют длину по одному слову.
По первой паре сигналов ЗАПР-ДАННЫЕ с входной шины принимается первое логическое слово (А), а по второй паре сигналов ЗАПР-ДАННЫЕ с входной шины принимается второе логическое слово (В).
После того, как операнды были приняты с входной шины, над ними в АЛУ производится машинная операция
и результат присваивается С.
Вывод данных из ВУ в устройство А производится по сигналу РЕЗ /результат/. ВУ выдает на шины управления ШУ сигнал РЕЗ и одновременно выставляет данные /результат/ на выходную шину ШВЫХ. Устройство А принимает данные и подтверждает прием результата сигналом ПРРЕЗ, после чего ВУ снимает с шины управления сигнал РЕЗ.
Разрядность выходного слова равна 8 бит.
Алгоритм микропрограммы операции "
" представлен на рисунке № 5.
Рис 5. Микропрограмма операции логического поразрядного И:
Операция "
" выполняется над логическими данными.
По каждой паре сигналов ЗАПР-ДАННЫЕ передается слово разрядностью 8 бит. ВУ выставляет на шину управления сигнал запроса данных ЗАПР и ждет от устройства А сигнала ДАННЫЕ. По этому сигналу ВУ принимает с входной шины переданные данные и снимает с шины управления сигнал ЗАПР.
Оба операнда (А и В) имеют длину по одному слову.
По первой паре сигналов ЗАПР-ДАННЫЕ с входной шины принимается первое логическое слово (А), а по второй паре сигналов ЗАПР-ДАННЫЕ с входной шины принимается второе логическое слово (В).
После того, как операнды были приняты с входной шины, над ними в АЛУ производится машинная операция
и результат присваивается С.
После этого, так же в АЛУ, осуществляется инверсия С.
Вывод данных из ВУ в устройство А производится по сигналу РЕЗ /результат/. ВУ выдает на шины управления ШУ сигнал РЕЗ и одновременно выставляет данные /результат/ на выходную шину ШВЫХ. Устройство А принимает данные и подтверждает прием результата сигналом ПРРЕЗ, после чего ВУ снимает с шины управления сигнал РЕЗ.
Разрядность выходного слова равна 8 бит.
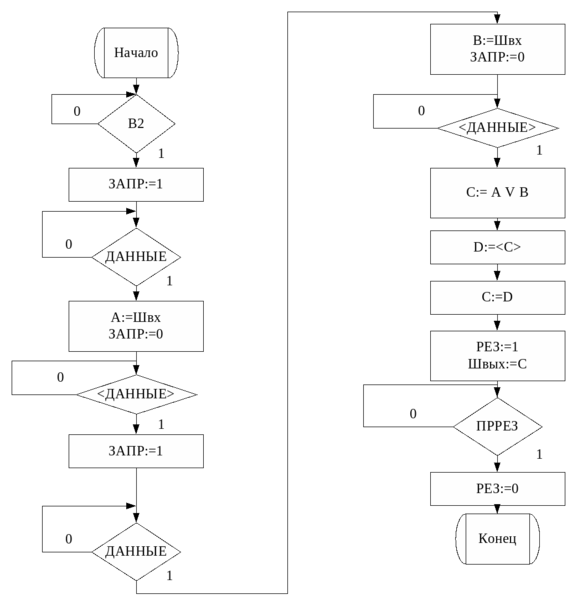
Алгоритм микропрограммы операции ""
представлен на рисунке № 6.
Рис 6. Микропрограмма операции логического поразрядного ИЛИ с инверсией :
Операция "
" выполняется над логическими данными.
По каждой паре сигналов ЗАПР-ДАННЫЕ передается слово разрядностью 8 бит. ВУ выставляет на шину управления сигнал запроса данных ЗАПР и ждет от устройства А сигнала ДАННЫЕ. По этому сигналу ВУ принимает с входной шины переданные данные и снимает с шины управления сигнал ЗАПР.
Оба операнда (А и В) имеют длину по одному слову.
По первой паре сигналов ЗАПР-ДАННЫЕ с входной шины принимается первое логическое слово (А), а по второй паре сигналов ЗАПР-ДАННЫЕ с входной шины принимается второе логическое слово (В).
После того, как операнды были приняты с входной шины, над ними в АЛУ производятся следующие действия: получение инверсного значения А, а затем машинная операция
и результат присваивается С.
Вывод данных из ВУ в устройство А производится по сигналу РЕЗ /результат/. ВУ выдает на шины управления ШУ сигнал РЕЗ и одновременно выставляет данные /результат/ на выходную шину ШВЫХ. Устройство А принимает данные и подтверждает прием результата сигналом ПРРЕЗ, после чего ВУ снимает с шины управления сигнал РЕЗ.
Разрядность выходного слова равна 8 бит.
Алгоритм микропрограммы операции "
" представлен на рисунке № 7.
















