полное отражение (1070603)
Текст из файла
ПОЛНОЕ ВНУТРЕННЕЕ ОТРАЖЕНИЕ СВЕТА
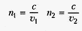
Пусть абсолютный показатель преломления первой среды больше, чем абсолютный показатель преломления второй среды
, то есть первая среда оптически более плотная.
Здесь абсолютные показатели сред соответственно равны:
Тогда, если направить луч света из оптически более плотной среды в оптически менее плотную среду,
то по мере увеличения угла падения преломленный луч будет приближаться к границе раздела двух сред (рис.1), затем пойдет по границе раздела (рис.2), а при дальнейшем увеличении угла падения преломленный луч исчезнет, т.е. падающий луч будет полностью отражаться границей раздела двух сред (рис.3)).
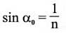
Предельный угол (альфа нулевое)– это угол падения, которому соответствует угол преломления 90 градусов.
Для воды предельный угол составляет 49 градусов.
Для стекла - 42 градуса.
Приборы и устройства, в которых используется явление полного отражения:
- поворотная призма - в перископе
- оборотная призма – в бинокле
- оптическое волокно – в световодах (тонких кварцевых или пластмассовых нитях диаметром 50-500 мкм в оболочке из того же вещества, но с меньшим показателем преломления),
где информация передается как последовательность световых импульсов.
Проявления в природе:
- пузырьки воздуха на подводных растениях кажутся зеркальными
- капли росы вспыхивают разноцветными огнями
- «игра» бриллиантов в лучах света
- поверхность воды в стакане при рассматривании снизу через стенку стакана будет блестеть.
ТАК ГОВОРЯТ УЧЕНЫЕ
Интересный пример того, как можно использовать слова для количественного описания результатов измерений, был приведен профессором Чикагского университета Гейлом.
Профессор работал в лаборатории с одним своим студентом, и они не знали, под каким напряжением – 110 или 220 вольт – находились клеммы, к которым они должны были подключить аппаратуру. Студент собрался сбегать за вольтметром, но профессор посоветовал ему определить напряжение на ощупь.
– Но ведь меня просто дернет, и все, – возразил студент.
– Да, но если тут 110 вольт, то вы отскочите и воскликнете просто: «О, черт!», а если 220, то выражение будет покрепче.
Когда об этой истории я рассказал студентам, один из них заметил: «Сегодня утром я встретил одного малого, так он, наверное, как раз перед этим подключился к напряжению 440!»
___
Давида Гильберта (1862...1943) спросили об одном из его бывших учеников. – Ах, этот-то? – вспомнил Гильберт. – Он стал поэтом. Для математики у него было слишком мало воображения.
Характеристики
Тип файла документ
Документы такого типа открываются такими программами, как Microsoft Office Word на компьютерах Windows, Apple Pages на компьютерах Mac, Open Office - бесплатная альтернатива на различных платформах, в том числе Linux. Наиболее простым и современным решением будут Google документы, так как открываются онлайн без скачивания прямо в браузере на любой платформе. Существуют российские качественные аналоги, например от Яндекса.
Будьте внимательны на мобильных устройствах, так как там используются упрощённый функционал даже в официальном приложении от Microsoft, поэтому для просмотра скачивайте PDF-версию. А если нужно редактировать файл, то используйте оригинальный файл.
Файлы такого типа обычно разбиты на страницы, а текст может быть форматированным (жирный, курсив, выбор шрифта, таблицы и т.п.), а также в него можно добавлять изображения. Формат идеально подходит для рефератов, докладов и РПЗ курсовых проектов, которые необходимо распечатать. Кстати перед печатью также сохраняйте файл в PDF, так как принтер может начудить со шрифтами.















