Гевондян, Иванов, Радюкевич - Электронные ключи (1067156)
Текст из файла
Московский Государственный Технический Университет
имени Н.Э.Баумана
К. Т. Гевондян
C . Р . Иванов
В. В. Радюкевич
ЭЛЕКТРОННЫЕ КЛЮЧИ
Методические указания к выполнению лабораторных работ
по курсу « Микроэлектроника »
Москва 2006
ВВЕДЕНИЕ
При построении современных систем логических элементов видное место занимают ТТЛ (транзисторно-транзисторная логика) и ЭСЛ (эмиттерно-связанная логика) ключи. Для правильного применения ключей и изучения их свойств необходимо познакомиться с совокупностью их электрических параметров и характеристик. Обычно ключи типа ТТЛ и ЭСЛ имеют несколько входов, что позволяет реализовать за счет этого различные логические функции. В частности, для положительной логики ( когда логической единице соответствует высокий уровень напряжения, а логическому нулю - низкий), которую будем рассматривать в дальнейшем, на ТТЛ-ключах можно реализовать логическую функцию m И-НЕ, а на ЭСЛ-ключах с парафазным выходом – логические функции
m ИЛИ-НЕ / m ИЛИ, где m – количество входов ключа.
К числу основных характеристик ключей относятся:передаточная – зависимость напряжения на выходе схемы от напряжения на входе Uвых=f1(Uвх);
входная – зависимость входного тока ключа от входного напряжения Iвх=f2(Uвх);
выходная – зависимость выходного напряжения от нагрузочного тока Uвых=f3(Iвых) (обычно снимают две выходные характеристики, соответствующие единичному и нулевому состояниям ключа);
переходная (амплитудно-временная) – зависимость выходного напряжения ключа от времени при подаче на вход(ы) заданных сигналов Uвых=f4(t).
Определенная обработка перечисленных характеристик позволяет найти ряд основных параметров ключей.
Ниже рассматриваются методики получения основных характеристик ключей и их последующая обработка для отыскания основных параметров исследуемых ключей.
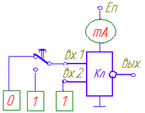
Рис.1 Схема снятия передаточной характеристики ключа
динамическим способом
Н
а рис. 1 показано получение передаточной характеристики динамическим способом. Для этого на один из входов исследуемого ключа подается пилообразное напряжение, а все остальные входы объединяются и присоединяются к источнику питания напряжения с уровнем, соответствующим логической единице (логическому нулю). Выход ключа нагружается на один или несколько входов аналогичных ключей. Далее на экране осциллографа (при внешней синхронизации) наблюдаются входное пилообразное напряжение и изменение выходного напряжения (рис. 2).
Рис.2 Осциллограммы сигналов на входе и выходе ключа
при снятии передаточной характеристики динамическим
способом
Поскольку Uвх линейно зависти от времени t, а Uвых также является функцией времени, то легко установить связь между выходным и входным напряжением, т.е. получит передаточную характеристику ключа. Для этого по наклону пологого участка “пилы” прогнозируется точка пересечения этой ветви с осью времени, и в эту точку переносится начало координат графиков: Uвх = 1(t) и
Uвых = 2(t). Так как Uвх=kt, то на второй осциллограмме Uвых = 2(t) переменная t однозначно отображает переменную Uвх, что и требуется.
В
зависимости от типа ключа его передаточная характеристика может иметь вид,
Рис.3 Передаточная характеристика ключа Рис.3 Передаточная характеристика ключа
инвертирующего типа неинвертирующего типа
изображенный на рис. 3 (инвертирующий ключ) и на рис. 4 (не инвертирующий ключ). Последовательность обработки передаточных характеристик обоих типов одинакова и сводится к следующим действиям.
На передаточной характеристике намечаются точки А и В, в которых касательные к графику идут под углом 45, т.е. где dUвых/dUвх = 1 и эти точки проектируются с использованием нанесенной на график линии равного усиления Uвых=Uвх на оси абсцисс и ординат
(рис.3 и 4).
В результате выполнения операции будут определены:
U¹ и Uº - соответственно напряжения логической единицы и логического нуля, т. е. значения высокого и низкого уровней напряжения. Эти напряжения могут быть отнесены ко входной или выходной цепям ключа и поэтому получают соответствующие дополнительные индексы в обозначении (U¹вх , Uºвх , U¹вых , Uºвых);
U¹пор и Uºпор – пороговые напряжения логической единицы и логического нуля, т.е. наименьшее (наибльшее) значение высокого (низкого) напряжения на входе ключа, при котором он начинает изменять свое состояние. На рис. 3 и 4смена состояния ключа происходит на участке между точками А и В.
Найденные уровни напряжения позволяют оценить логический перепад
∆Uвых = U¹вых-Uºвых, положительную ∆U⁺n=Uºвх.пор-Uºвх и отрицательную ∆U⁻n=U¹вх-U¹вх.пор статические помехи, а также статическую помехоустойчивость ключа Un.ст как меньшую из двух получаемых величин ∆U⁺n и ∆U⁻n. Здесь Un.ст определяется на входе схемы как максимально допустимое отклонение напряжения, при котором ещё не происходит изменения уровней выходного напряжения ключа.
Легко показать, что ключи, у которых нет петли гистерезиса на передаточной характеристике, могут иметь статическую помехоустойчивость не более половины логического перепада. Поэтому по степени отклонения от единицы отношения статической помехоустойчивости к половине логического перепада можно судить о качестве спроектированной схемы.
При снятии входной характеристики на один из входов подают изменяющееся напряжение в пределах 0…Еn и наблюдают в его цепи ток. При этом все остальные входы объединяют и присоединяют к источнику с уровнем напряжения, соответствующим логической единице
(нулю). Выходная цепь исследуемого элемента при этом остается ненагруженной (рис. 5 и 6)
Пользуясь входной характеристикой схемы, можно отыскать такие параметры ключа, как
I¹вх и Iºвх - входные токи логической единицы и нуля, т. е. токи во входной цепи ключа при подаче на его вход напряжения логической единицы U¹вх и нуля Uºвх. Примерный вид входных характеристик ТТЛ- и ЭСЛ-ключей и способ оценки параметров I¹вх и Iºвх приводятся на рис. 7 и 8.
При снятии выходной характеристики ключа (рис. 9-12) в его входной цепи создают комбинацию входных сигналов, переводящую исследуемый ключ в состояние логического нуля или логической единицы. Выходную цепь ключа присоединяют к источнику тока и, изменяя нагрузочный ток, регистрируют изменения выходного напряжения. Схемы получения выходных характеристик ключей показаны на рис. 9 и 10 для ТТЛ-ключей и рис.11 и 12 для ЭСЛ-ключей.
Рис.5 Схема снятия входной Рис.6 Схема снятия входной
характеристики ТТЛ- характеристики ЭСЛ-
ключа ключа
Рис.7 Типичный вид входной Рис.8 Типичный вид входной
характеристики ТТЛ-ключа характеристики ЭСЛ-ключа
Рис.9 Схема снятия выходной Рис.10 Схема снятия выходной
характеристики ТТЛ-ключа характеристики ТТЛ-ключа
в состоянии логического нуля в состоянии логической единицы
Рис.11 Схема снятия выходной Рис.12 Схема снятия выходной
характеристики ЭСЛ-ключа в характеристики ЭСЛ-ключа в
состоянии логической единицы состоянии логического нуля
Полученные характеристики используются для оценки
I¹вых и Iºвых – выходных токов логической единицы и логического нуля. Это токи в выходной цепи ключа, которым соответствует на выходе ключа напряжение логической единицы и логического нуля. Примерный вид выходных характеристик ТТЛ- и ЭСЛ-ключей показан на рис. 13 и 14.
Рис.13 Типичный вид выходных Рис.14 Типичный вид выходных
характеристик ТТЛ-ключа характеристик ЭСЛ-ключа
при различных логических при различных логических
состояниях на выходе состояниях на выходе
Найденные параметры ключа I¹вх , Iºвх, I¹вых и Iºвых используются затем для оценки коэффициента разветвления по выходу Краз. Этот параметр определяет число единичных нагрузок – аналогичных ключей, которое можно одновременно подключить к выходу ключа; Краз есть меньший из двух коэффициентов разветвления
Важно знать, какую мощность потребляет исследуемая схема. Различаются
и
- соответственно потребляемые схемой мощности в состоянии логической единицы и логического нуля. Они оцениваются через измеряемые в цепях источников питания токи (рис. 15) в соответствующих состояния ключа
и
напряжения источников питания
:
Здесь К – количество источников питания в схеме ключа.
Рис.15 Схема оценки потребляемого ключом тока
от источника питания
В качестве параметра ключа используется также и средняя потребляемая мощность от источников питания
. Динамические свойства ключа (его быстродействие) оцениваются обычно по переходной (амплитудно-временной) характеристике. Для этого (рис. 16) на один вход схемы подают импульсный сигнал (при получении переходной характеристики – это идеальный прямоугольный импульс), все другие входы объединяют и подают на них уровень напряжения, который отключает эти (для ТТЛ-ключа высокий уровень напряжения, а для ЭСЛ-ключа - низкий). На выход схемы присоединяется нагрузка в соответствии с найденным Краз. На экране осциллографа, работающего в режиме внешней синхронизации, наблюдают входной и выходной сигналы ключа. Используемые для оценки быстродействия ключа параметры и методика их получения отображены на рис. 17.
Рис.16 Схема оценки временных
Характеристики
Тип файла документ
Документы такого типа открываются такими программами, как Microsoft Office Word на компьютерах Windows, Apple Pages на компьютерах Mac, Open Office - бесплатная альтернатива на различных платформах, в том числе Linux. Наиболее простым и современным решением будут Google документы, так как открываются онлайн без скачивания прямо в браузере на любой платформе. Существуют российские качественные аналоги, например от Яндекса.
Будьте внимательны на мобильных устройствах, так как там используются упрощённый функционал даже в официальном приложении от Microsoft, поэтому для просмотра скачивайте PDF-версию. А если нужно редактировать файл, то используйте оригинальный файл.
Файлы такого типа обычно разбиты на страницы, а текст может быть форматированным (жирный, курсив, выбор шрифта, таблицы и т.п.), а также в него можно добавлять изображения. Формат идеально подходит для рефератов, докладов и РПЗ курсовых проектов, которые необходимо распечатать. Кстати перед печатью также сохраняйте файл в PDF, так как принтер может начудить со шрифтами.














