Отчёт 2 (1057524)
Текст из файла
Московский Государственный Технический Университет имени Н.Э.Баумана
Отчет
по лабораторной работе №2
по курсу «Электроприводы роботов»
«Изучение способов управления
электроприводом переменного тока
на базе программируемых логических контроллеров»
Выполнили: Данилов М.А.
Кожемякин С.А.
Можаев К.О.
Группа: РК10-71
Проверили: Ванин А.В.
Польский В.А.
Москва, 2010 г.
-
Скоростное управление
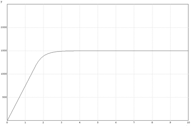
Задание 1. Определите настройки контура регулирования скорости двигателя на модели привода так, чтобы отсутствовало перерегулирование.
Задание 2. Определите настройки контура регулирования скорости двигателя на модели привода так, чтобы время переходного процесса было минимальным.
Тп.п. = 0,019с
Задание 3. Определите границу устойчивости системы управления, используя модель привода.
При дальнейшем увеличении
, в системе начинаются автоколебания. Данный график приведён для
2. Позиционное управление
Задание 1. Уточните настройки регулятора скорости ПЧ согласно заданию 2 раздела 7.1, получите характеристику переходного процесса привода под управлением ПЧ. Зарисуйте график переходного процесса.
Задание 2. Определите с использованием модели привода настройки контура регулирования положения ротора двигателя так, чтобы отсутствовало перерегулирование во время переходного процесса.
Задание 3. Определите с использованием модели привода настройки контура регулирования положения ротора двигателя так, чтобы время переходного процесса было минимально.
Было задано:
Задание 4. Проведите с использованием модели привода настройку регулятора положения без использования регулятора скорости, реализованного на ПЧ, проведите экспериментальное исследование с использованием полученных вариантов настройки регулятора положения. график переходного процесса.
Задание 5. Определите с использованием модели привода границу устойчивости привода, используя последовательное увеличение коэффициентов регулятора. Настройки проводите на модели привода, проведите экспериментальное исследование с использованием полученных вариантов настройки регулятора положения.
3. Испытания на стенде
Автоколебения
Положение 150
Положение 360
Положение 500
Скорость 750 об мин, t=10 с
Скорость 750 об/мин, Kи=13
Скорость 750 об/мнн, без перерегулирования
Характеристики
Тип файла документ
Документы такого типа открываются такими программами, как Microsoft Office Word на компьютерах Windows, Apple Pages на компьютерах Mac, Open Office - бесплатная альтернатива на различных платформах, в том числе Linux. Наиболее простым и современным решением будут Google документы, так как открываются онлайн без скачивания прямо в браузере на любой платформе. Существуют российские качественные аналоги, например от Яндекса.
Будьте внимательны на мобильных устройствах, так как там используются упрощённый функционал даже в официальном приложении от Microsoft, поэтому для просмотра скачивайте PDF-версию. А если нужно редактировать файл, то используйте оригинальный файл.
Файлы такого типа обычно разбиты на страницы, а текст может быть форматированным (жирный, курсив, выбор шрифта, таблицы и т.п.), а также в него можно добавлять изображения. Формат идеально подходит для рефератов, докладов и РПЗ курсовых проектов, которые необходимо распечатать. Кстати перед печатью также сохраняйте файл в PDF, так как принтер может начудить со шрифтами.














