4 вар ТСММ (1054569), страница 2
Текст из файла (страница 2)
| n1 | n2 | n3 | n4 | n5 | n6 | n7 | ni (об/мин) |
| 0,86 | 0,86 | 0,85 | 0,84 | 0,82 | 0,80 | 0,77 | 1200 |
| 0,86 | 0,85 | 0,85 | 0,84 | 0,82 | 0,80 | 0,76 | 1300 |
| 0,86 | 0,85 | 0,84 | 0,83 | 0,82 | 0,79 | 0,76 | 1400 |
| 0,86 | 0,85 | 0,84 | 0,83 | 0,81 | 0,79 | 0,75 | 1500 |
| 0,86 | 0,85 | 0,84 | 0,83 | 0,81 | 0,78 | 0,74 | 1600 |
| 0,86 | 0,85 | 0,84 | 0,82 | 0,80 | 0,77 | 0,73 | 1700 |
| 0,86 | 0,85 | 0,84 | 0,82 | 0,80 | 0,77 | 0,72 | 1800 |
| 0,85 | 0,85 | 0,83 | 0,82 | 0,80 | 0,76 | 0,72 | 1900 |
| 0,85 | 0,84 | 0,83 | 0,82 | 0,79 | 0,76 | 0,71 | 2000 |
| 0,85 | 0,84 | 0,83 | 0,81 | 0,79 | 0,75 | 0,70 | 2100 |
| 0,85 | 0,84 | 0,83 | 0,81 | 0,78 | 0,74 | 0,69 | 2200 |
Динамический фактор:
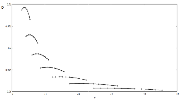
| D1 | D2 | D3 | D4 | D5 | D6 | D7 | ni (об/мин) |
| 0,71 | 0,49 | 0,34 | 0,24 | 0,16 | 0,11 | 0,08 | 1200 |
| 0,72 | 0,50 | 0,35 | 0,24 | 0,17 | 0,11 | 0,08 | 1300 |
| 0,73 | 0,51 | 0,35 | 0,24 | 0,17 | 0,11 | 0,08 | 1400 |
| 0,73 | 0,51 | 0,35 | 0,24 | 0,17 | 0,11 | 0,08 | 1500 |
| 0,73 | 0,51 | 0,35 | 0,24 | 0,17 | 0,11 | 0,07 | 1600 |
| 0,72 | 0,50 | 0,35 | 0,24 | 0,16 | 0,11 | 0,07 | 1700 |
| 0,71 | 0,50 | 0,34 | 0,24 | 0,16 | 0,11 | 0,07 | 1800 |
| 0,70 | 0,49 | 0,34 | 0,23 | 0,16 | 0,11 | 0,07 | 1900 |
| 0,68 | 0,47 | 0,33 | 0,23 | 0,15 | 0,10 | 0,07 | 2000 |
| 0,66 | 0,46 | 0,32 | 0,22 | 0,15 | 0,10 | 0,06 | 2100 |
| 0,63 | 0,44 | 0,30 | 0,21 | 0,14 | 0,09 | 0,06 | 2200 |
Приложение 1.
Эффективная мощность, свободная мощность, мощность потерь.
Эффективный, свободный моменты.
Динамический фактор.















