РК по Карпухину (1051493), страница 2
Текст из файла (страница 2)
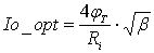
Вопрос 6 (баллы 0 из 4)
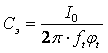
По выше найденным формулам рассчитайте и напишите численный ответ. Р расс. Образец ввода численного ответа: 00.0 в мВт. В поле должно быть ровно 4 символа. * (Вес: 4)
| Прав. | Правильный ответ |
|
| 31.5 |
Ваш ответ: 33.6
Тест не сдан
| Тест | Входные каскады усилителей биопотенциалов. Билет № 33 |
| Слушатель | Хомченко Мария |
| Курс | МПАСиК |
| Срок жизни допуска | 28.10.2008:22:50 — 28.10.2008:23:00 |
| Сдача теста | 28.10.2008:22:50 — 28.10.2008:22:55 |
| Затрачено времени | 5 мин. 51 сек. |
| Время на сдачу | 10 мин. |
| Состояние завершения | завершен |
| Представлено вопросов | 4 |
| Правильных ответов | 0 |
| Макс. балл | 20 |
| Проходной балл | 15 (75%) |
| Набрано баллов | 0 (0%) |
| Тест сдан |
|
| Секция | Вопросов | Правильно | Макс. балл | Набранный балл |
| Вопрос № 1 | 2 | 0 | 8 | 0 (0%) |
| Вопрос № 2 | 2 | 0 | 12 | 0 (0%) |
[только неправильные вопросы]
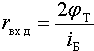
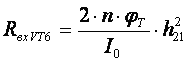
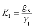
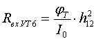
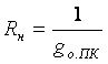
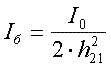
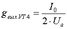
Вопрос 1 (баллы 0 из 4)
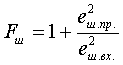
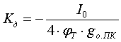
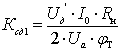
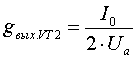
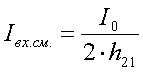
Дифференциальный усилитель с активной нагрузкой в виде схемы токового зеркала. Найти коэффициент передачи дифференциального сигнала усилителя с несимметричным выходом при условии идентичности транзисторов для h21=30, Ua=200 В. * (Вес: 4)
| Прав. | Ваш |
| ||
|
|
|
| ||
| | |
| ||
| | |
| ||
| | |
| ||
| | |
| ||
| | |
| ||
| | |
| ||
| | |
| ||
| | |
| ||
| | |
| ||
| | |
| ||
| | |
| ||
| | |
| ||
| | |
| ||
| | |
| ||
| | |
| ||
| | |
| ||
| | |
| ||
| | |
| ||
| | |
| ||
| | |
| ||
| | |
| ||
| | |
| ||
| | |
| ||
| | |
| ||
| | |
| ||
| | |
| ||
| | |
| ||
| | |
| ||
| | |
| ||
| | |
| ||
| | |
| ||
| | |
| ||
| | |
| ||
| | |
| ||
| | |
| ||
| | |
| ||
| | |
| ||
| | |
| ||
| | |
| ||
| | |
| ||
| | |
| ||
| | |
| ||
| | |
| ||
| | |
| ||
| | |
| ||
| | |
| ||
| | |
| ||
| | |
| ||
| | |
| ||
| | |
| ||
| | |
| ||
| | |
| ||
| | |
| ||
| | |
| ||
| | |
| ||
| | |
| ||
| | |
| ||
| | |
| ||
| | |
| ||
| | |
| ||
| | |
| ||
| | |
| ||
| | |
| ||
| | |
| ||
| | |
| ||
| | |
| ||
| | |
| ||
| | |
| ||
| | |
| ||
| | |
| ||
| | |
| ||
| | |
| ||
| | |
| ||
| | |
| ||
| | |
|
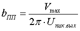
Вопрос 2 (баллы 0 из 4)
По выше найденным формулам рассчитайте и напишите численный ответ. По модулю. Образец ввода численного ответа: 0000 В поле должно быть ровно 4 символа. * (Вес: 4)
| Прав. | Правильный ответ |
|
| 2000 |
Ваш ответ: 0.723















