КР вар[1]. 39 (1051459)
Текст из файла
Отчет о тестировании
Поздравляем, Вы успешно сдали тест!
| Тест | Входные каскады усилителей биопотенциалов. Билет № 39 |
| Слушатель | Симонова Ксения |
| Курс | МПАСиК |
| Срок жизни допуска | 28.10.2008:21:29 — 28.10.2008:21:39 |
| Сдача теста | 28.10.2008:21:29 — 28.10.2008:21:32 |
| Затрачено времени | 3 мин. 27 сек. |
| Время на сдачу | 10 мин. |
| Состояние завершения | завершен |
| Представлено вопросов | 4 |
| Правильных ответов | 4 |
| Макс. балл | 20 |
| Проходной балл | 15 (75%) |
| Набрано баллов | 20 (100%) |
| Тест сдан |
|
| Секция | Вопросов | Правильно | Макс. балл | Набранный балл |
| Вопрос № 1 | 2 | 2 | 8 | 8 (100%) |
| Вопрос № 2 | 2 | 2 | 12 | 12 (100%) |
[только неправильные вопросы]
Вопрос 1 (баллы 4 из 4)
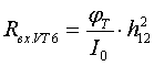
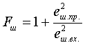
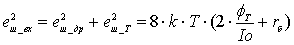
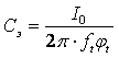
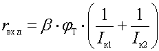
Дифференциальный усилитель на биполярных транзисторах с источником начального тока и пассивной нагрузкой, Еп=±15 В, Io=200 мкА, Ivt3=1 мА, h21=200, Uбэ=650 мВ при Iбэ=1.0 мА, Uк1=Uк2=+9.0 В, g0=307 нСм, Va=250 В. Все транзисторы идентичны, кроме оговоренных особо случаев. Найти: ТКН Uсм при Uсм=2.0 мВ. * (Вес: 4)
| Прав. | Ваш |
| ||
|
|
|
| ||
| | |
| ||
| | |
| ||
| | |
| ||
| | |
| ||
| | |
| ||
| | |
| ||
| | |
| ||
| | |
| ||
| | |
| ||
| | |
| ||
| | |
| ||
| | |
| ||
| | |
| ||
| | |
| ||
| | |
| ||
| | |
| ||
| | |
| ||
| | |
| ||
| | |
| ||
| | |
| ||
| | |
| ||
| | |
| ||
| | |
| ||
| | |
| ||
| | |
| ||
| | |
| ||
| | |
| ||
| | |
| ||
| | |
| ||
| | |
| ||
| | |
| ||
| | |
| ||
| | |
| ||
| | |
| ||
| | |
| ||
| | |
| ||
| | |
| ||
| | |
| ||
| | |
| ||
| | |
| ||
| | |
| ||
| | |
| ||
| | |
| ||
| | |
| ||
| | |
| ||
| | |
| ||
| | |
| ||
| | |
| ||
| | |
| ||
| | |
| ||
| | |
| ||
| | |
| ||
| | |
| ||
| | |
| ||
| | |
| ||
| | |
| ||
| | |
| ||
| | |
| ||
| | |
| ||
| | |
| ||
| | |
| ||
| | |
| ||
| | |
| ||
| | |
| ||
| | |
| ||
| | |
| ||
| | |
| ||
| | |
| ||
| | |
| ||
| | |
| ||
| | |
| ||
| | |
|
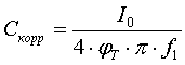
Вопрос 2 (баллы 4 из 4)
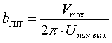
По выше найденным формулам рассчитайте и напишите численный ответ. Образец ввода численного ответа: 00.000 в мкВ / К. В поле должно быть ровно 6 символов. * (Вес: 4)
| Прав. | Правильный ответ |
|
| 06.667 |
Ваш ответ: 06.667
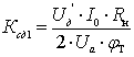
Вопрос 3 (баллы 6 из 6)
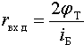
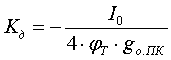
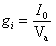
Дано: h21=50 для всех транзисторов, +Еп=15 В, -Еп=-15 В, I12=1.0 мА, Iо=25 мкА, Uа=250 В (напряжение Эрли). Найти: выходную проводимость источника тока, который используется для смещения дифференциального каскада. * (Вес: 6)
| Прав. | Ваш |
| ||
|
|
|
| ||
| | |
| ||
| | |
| ||
| | |
| ||
| | |
| ||
| | |
| ||
| | |
| ||
| | |
| ||
| | |
| ||
| | |
| ||
| | |
| ||
| | |
| ||
| | |
| ||
| | |
| ||
| | |
| ||
| | |
| ||
| | |
| ||
| | |
| ||
| | |
| ||
| | |
| ||
| | |
| ||
| | |
| ||
| | |
| ||
| | |
| ||
| | |
| ||
| | |
| ||
| | |
| ||
| | |
| ||
| | |
| ||
| | |
| ||
| | |
| ||
| | |
| ||
| | |
| ||
| | |
| ||
| | |
| ||
| | |
| ||
| | |
| ||
| | |
| ||
| | |
| ||
| | |
| ||
| | |
| ||
| | |
| ||
| | |
| ||
| | |
| ||
| | |
| ||
| | |
| ||
| | |
| ||
| | |
| ||
| | |
| ||
| | |
| ||
| | |
| ||
| | |
| ||
| | |
| ||
| | |
| ||
| | |
| ||
| | |
| ||
| | |
| ||
| | |
| ||
| | |
| ||
| | |
| ||
| | |
| ||
| | |
| ||
| | |
| ||
| | |
| ||
| | |
| ||
| | |
| ||
| | |
| ||
| | |
| ||
| | |
| ||
| | |
| ||
| | |
| ||
| | |
| ||
| | |
| ||
| | |
|
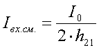
Вопрос 4 (баллы 6 из 6)
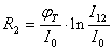
По выше найденным формулам рассчитайте и напишите численный ответ. Образец ввода численного ответа: 00.00 в нСм. В поле должно быть ровно 5 символов. * (Вес: 6)
| Прав. | Правильный ответ |
|
| 51.75 |
Ваш ответ: 51.75
Характеристики
Тип файла документ
Документы такого типа открываются такими программами, как Microsoft Office Word на компьютерах Windows, Apple Pages на компьютерах Mac, Open Office - бесплатная альтернатива на различных платформах, в том числе Linux. Наиболее простым и современным решением будут Google документы, так как открываются онлайн без скачивания прямо в браузере на любой платформе. Существуют российские качественные аналоги, например от Яндекса.
Будьте внимательны на мобильных устройствах, так как там используются упрощённый функционал даже в официальном приложении от Microsoft, поэтому для просмотра скачивайте PDF-версию. А если нужно редактировать файл, то используйте оригинальный файл.
Файлы такого типа обычно разбиты на страницы, а текст может быть форматированным (жирный, курсив, выбор шрифта, таблицы и т.п.), а также в него можно добавлять изображения. Формат идеально подходит для рефератов, докладов и РПЗ курсовых проектов, которые необходимо распечатать. Кстати перед печатью также сохраняйте файл в PDF, так как принтер может начудить со шрифтами.















