Билет41_рк (1051446)
Текст из файла
Билет № 41
Задача 1
Дифференциальный усилитель на биполярных транзисторах с источником начального тока и пассивной нагрузкой, Еп=±15 В, Io=200 мкА, Ivt3=1 мА, h21=200, Uбэ=650 мВ при Iбэ=1.0 мА, Uк1=Uк2=+10.0 В, g0=307 нСм, Va=250 В. Все транзисторы идентичны, кроме оговоренных особо случаев. Найти: Uк1 и Uк2 при Uд=-1 мВ, Uсм=2.0 мВ. *
По выше найденным формулам рассчитайте и напишите численный ответ. Uк1, по модулю. Образец ввода численного ответа: 000.0 в В. В поле должно быть ровно 5 символов. *
Правильный ответ
010.3
По выше найденным формулам рассчитайте и напишите численный ответ. Uк2, по модулю. Образец ввода численного ответа: 000.0 в В. В поле должно быть ровно 5 символов. *
Правильный ответ
009.7
Задача 2
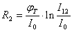
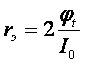
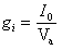
Дано: h21=50 для всех транзисторов, +Еп=15 В, -Еп=-15 В, I12=1.0 мА, Iо=25 мкА, Uа=250 В (напряжение Эрли). Найти: коэффициент усиления синфазного сигнала, коэффициент ослабления синфазного сигнала при условии Uсм=1.0 мВ для диф. каскада.
По выше найденным формулам рассчитайте и напишите численный ответ. По модулю. Kсс Образец ввода численного ответа: 0.000 В поле должно быть ровно 5 символов.
Ответ 0.686
По выше найденным формулам рассчитайте и напишите численный ответ. По модулю. Косс Образец ввода численного ответа: 0000 В поле должно быть ровно 4 символа.
| ответ | |
| 2500 |
Характеристики
Тип файла документ
Документы такого типа открываются такими программами, как Microsoft Office Word на компьютерах Windows, Apple Pages на компьютерах Mac, Open Office - бесплатная альтернатива на различных платформах, в том числе Linux. Наиболее простым и современным решением будут Google документы, так как открываются онлайн без скачивания прямо в браузере на любой платформе. Существуют российские качественные аналоги, например от Яндекса.
Будьте внимательны на мобильных устройствах, так как там используются упрощённый функционал даже в официальном приложении от Microsoft, поэтому для просмотра скачивайте PDF-версию. А если нужно редактировать файл, то используйте оригинальный файл.
Файлы такого типа обычно разбиты на страницы, а текст может быть форматированным (жирный, курсив, выбор шрифта, таблицы и т.п.), а также в него можно добавлять изображения. Формат идеально подходит для рефератов, докладов и РПЗ курсовых проектов, которые необходимо распечатать. Кстати перед печатью также сохраняйте файл в PDF, так как принтер может начудить со шрифтами.














