Шпоры по Сергееву (1044905), страница 7
Текст из файла (страница 7)
так, чтобы коэффициенты i, i, i были действительными числами. Это возможно, так как все коэффициенты ai и bi являются вещественными. Затем, группируя соответствующим образом эти множители, представим системную функцию в виде произведения: H(z)=H1(z) · H2(z) ·...· Hk(z) (4.38)
где сомножители имеют вид системных функций фильтров первого и второго порядков:
Следовательно, ЦФ с системной функцией Error: Reference source not found может быть реализован посредством каскадного (последовательного) соединения цифровых фильтров 1го и 2го порядка (Рис. 4.11).
Рис. 4.11 Последовательная форма ЦФ
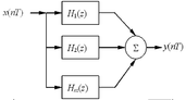
77. ПАРАЛЛЕЛЬНАЯ ФОРМА РЕАЛИЗАЦИИ ЦИФРОВЫХ ФИЛЬТРОВ.
Системную функцию Error: Reference source not found, представленную в виде произведения элементарных сомножителей, можно посредством разложения на простые дроби преобразовать к виду:
Такое представление системной функции соответствует схемной реализации (Рис. 4.12) в виде параллельного соединения элементарных цифровых фильтров
.
Рис. 4.12. Параллельная форма ЦФ
78. ЧАСТОТНАЯ ХАРАКТЕРИСТИКА ЦИФРОВОГО ФИЛЬТРА.
До сих пор мы не рассматривали такую важную характеристику ЦФ, как частотная. В какой-то мере роль частотной характеристики играет системная функция. Однако использовать только системную функцию не всегда удобно, особенно при анализе цифровых систем обработки сигналов, аналогичных непрерывным фильтрам.
Частотная характеристика (частотный коэффициент передачи) аналогового фильтра может быть определена как отношение спектра выходного сигнала к спектру входного сигнала (для -функции спектральная плотность S1()=1): K() = S2()/S1()
В качестве входного сигнала удобно использовать обобщенный гармонический сигнал ejt, тогда выходной сигнал будет иметь вид: K() ejt
Для определения ЧХ ЦФ на его вход (точнее, на вход дискретного фильтра, т.к. эффекты квантования не учитываются) подают дискретизированный сигнал x(kT)= ejnT. Тогда выходной сигнал будет иметь вид: y(nT)=K() ejnT.
Поскольку входной и выходной сигналы дискретны во времени, а дискретные сигналы обладают периодическими спектрами с периодом, равным частоте дискретизации, то отношение их спектров даст также периодическую частотную характеристику с тем же периодом 2/T (рад/с).
Подставим обобщенный дискретизированный гармонический сигнал x(nT)=ejnT в разностное уравнение (4.33) для цифрового фильтра общего вида: K()ejnT(1-b1e-jT-a2e-j2T...-bNe-jNT) =
= ejnT(a0+a1e-jT+a2e-j2T+...+aMe-jMT)
Откуда найдем частотную характеристику:
Это выражение совпадает с выражением для системной функции цифрового фильтра, если e-jT заменить на z-1. Таким образом, установлена простая связь между частотной характеристикой цифрового фильтра и его системной функцией:
K() = H(ejT) (4.41)
Из Error: Reference source not found следуют многие свойства частотной характеристики цифровых фильтров, в частности, периодичность.
Соотношение Error: Reference source not found позволяет определить положение нулей и полюсов частотной характеристики K() по известному положению особых точек системной функции H(z). Error: Reference source not found позволяет записать связь между частотной и импульсной характеристиками цифрового фильтра. Заменяя z на ejT в формуле (4.26), получим:
(4.42)
Видно, что частотная характеристика связана с системной функцией соотношением, подобным Дискретному Преобразованию Фурье. В качестве примера рассмотрим цифровой фильтр 1го порядка с импульсной характеристикой g(nT)=e-nT/, для которого системная функция была найдена ранее в виде:
Заменяя z-1 на e-jT, получим выражение для частотной характеристики:
Рис.4.13. АЧХ ЦФ: 1-при T/=1, 2-при T/=1/4. Для |f|<1/(2T) график ЧХ хорошо совпадает с ЧХ фильтра-прототипа (3)
Теперь найдем амплитудно-частотную и фазочастотную характеристики:
Определим положение особых точек передаточной функции K(p) рассмотренного цифрового фильтра. Единственный полюс системной функции этого фильтра расположен в точке z=e-T/. Заменяя z на epT, получим epT= e-T/, откуда:
Рис. 4.14. Расположение полюсов передаточной функции
Единственному полюсу системной функции соответствует бесконечное число полюсов передаточной функции, расположенных вдоль прямой j с интервалом 2/T (см. Рис. 4.14).
87. МЕДИАННАЯ ФИЛЬТРАЦИЯ. ОСНОВНЫЕ СВОЙСТВА.
Из большого класса нелинейных алгоритмов цифровой фильтрации рассмотрим в качестве примера медианные фильтры, которые могут оказаться полезными для борьбы с импульсными помехами и шумами в медико-биологических сигналах и для реставрации изображений.
Алгоритм обработки напоминает фильтры скользящего среднего. Выбирают окно длиной N отсчетов (N обычно берут нечетным), которое перемещается («скользит») вдоль вектора входных данных {x(nT)}. В окне производится упорядочивание чисел (сортировка) в любом направлении – по возрастанию либо по убыванию. В качестве выходного значения фильтра передается медианный (срединный) элемент из упорядоченного текущего окна, т.е. тот, у которого порядковый номер в упорядоченном текущем окне соответствует половине длины окна.
Для получения всех отсчетов выходного сигнала окно последовательно сдвигают вдоль данных, постоянно вновь повторяя операцию сортировки. Иллюстрация хода процесса медианной фильтрации для 10ти точек данных при окне размером N=3 показана ниже (первая строка – входные данные, вторая строка - выходные, т.е. результат медианной фильтрации):
5 7 3 9 9 6 3 2 3 2
5 7 9 9 6 3 3 2
Видно, что с помощью такого фильтра невозможно обработать (N-1)/2 первых (слева) и столько же последних (справа) данных.
Понятно, что медианные фильтры не используют арифметических операций типа сложения, умножения, деления, а выполняют обработку, используя только инструкции пересылки данных и операции сравнения при сортировке. Это существенно упрощает и ускоряет обработку, что определяет привлекательность медианной фильтрации для задач обработки (реставрации) изображений. Следует помнить, что медианная фильтрация является нелинейной и для описания таких фильтров неприемлемы линейные методы.
Нелинейность медианных фильтров и их сглаживающие свойства по отношению к импульсным шумам лучше всего видны при совместном рассмотрении импульсной и переходной характеристик.
При анализе реакции медианного фильтра на цифровую δ-функцию обнаруживается, что импульсная характеристика тождественно равна нулю. Но при этом медианный фильтр реагирует на другие входные сигналы. Это указывает на нелинейный характер преобразований. Здесь также видно, почему и как медианный фильтр убирает импульсные помехи протяженностью до половины длины окна.
Подавая на вход медианного фильтра дискретизированную единичную функцию 1(nT), получим ее же на выходе без изменений. Следовательно, медианный фильтр передает ступенчатые сигналы (и фронты сигналов) без изменений, не затягивая их во времени (или в пространстве)
88. СИНТЕЗ НЕРЕКУРСИВНЫХ ЦИФРОВЫХ ФИЛЬТРОВ МЕТОДОМ РАЗЛОЖЕНИЯ ЧАСТОТНОЙ ХАРАКТЕРИСТИКИ В РЯД ФУРЬЕ:
а) реализация ППФ с АЧХ прямоугольной формы;
б) реализация ППФ с АЧХ треугольной формы;
в) реализация ППФ с АЧХ косинусной формы;
г) реализация ППФ с АЧХ гауссовской формы.
1. Прямоугольная форма П(f,f) fd=100, fo=20, f=10, N=20.
Возьмем одиночный четный непериодический униполярный прямоугольный импульс единичной амплитуды П(f,f) c длительностью f. Его спектральная плотность по (3.71): S()=f sinc(f/2). Используя теорему запаздывания, определим спектры для П(f-fo,f) и его четного отражения П(f+fo,f):
exp(-jfo) f sinc(f/2)
exp(jfo) f sinc(f/2)
Применяя формулу Эйлера для суммы импульсов, находим общую спектральную плотность:
П(f-fo,f) + П(f+fo,f) 2cos(fo) f sinc(f/2)
т.е. спектр одиночного импульса умножен на 2cos(fo) при четной симметрии.
Зная период T повторения частотной характеристики, который равен частоте дискретизации fd и используя связь между спектром одиночного импульса и периодической последовательности импульсов (3.58), определим Сn по известной S():
Сn=( 1/T) S(2n/T)
коэффициенты разложения в ряд Фурье:
Для получения вида передаточной функции (и для проверки) нужно вычислить сумму конечного ряда Фурье:
Если бы мы взяли нечетно - симметричный импульс, т.е. П(f-fo,f)-П(f+fo,f), то результат получился бы иным:













