Проект (1041451)
Текст из файла
47
Московский Государственный Технический Университет
им. Н. Э. Баумана
Кафедра МТ7 .
РАСЧЕТНО-ПОЯСНИТЕЛЬНАЯ записка
к курсовому проекту
«Сварные конструкции»
Студент: Колпаков Е.Ю. Гр. МТ7 – 83
Консультант: Выборнов А.П. Дата: ,
МОСКВА 2015.
-
Аннотация.
Целью данного курсового проекта является анализ двух вариантов изготовления сварных пространственных узлов главной и горизонтальной фермы мостового крана. Первый вариант рассчитан и спроектирован, исходя из условия удобства сборки и сварки (с минимальным применением механической обработки: стержни ферм изготавливаются из прокатных элементов, соединяемых внахлестку угловыми швами). Второй, исходя из условия минимизации концентрации напряжений в сварных швах пространственных узлов (ферма минимальной массы с соединениями встык).
Проект выполнен на 4-х листах формата А1, содержащих: общий вид мостового крана для обоих вариантов, конструкции основных узлов ферм «технологичного» и «экономичного» вариантов, а так же эскизный проект стенда для сборки и сварки верхнего пояса 2-го варианта. Пояснительная записка содержит 49 листов формата А4, на которых представлены расчеты, таблицы и иллюстрации.
В ходе выполнения проекта были рассчитаны усилия в отдельных стержнях фермы, определены необходимые размеры поперечных сечений стержней, удовлетворяющие условиям выносливости, устойчивости и статической прочности, детально разработаны основные пространственные сварные узлы конструкции.
-
Построение линий влияния.
-
Определение опорных реакций:
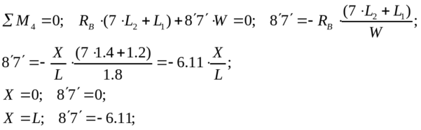
Составим уравнение моментов относительно точки В (см. Рис. 2.1.):
где 1 – единичная сила (далее Е. С.);
Х – координата положения Е. С.;
RA – реакция в точке А ;
L – пролет фермы.
Составим уравнение моментов относительно точки А :
где RB – реакция в точке В.
-
Линия влияния стержня Н4:
-
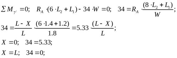
Е. С. правее точки 7/:
Составим уравнение моментов относительно точки 7/ (см. Рис. 2.1):
где 34 – усилие в стержне Н4 направленное из точки 3 в точку 4;
L1=1,2 м – длина крайних стержней верхнего пояса;
L2=1.4 м – длина остальных стержней нижнего пояса;
W=1.8 м – высота стоек вертикальной фермы.
Рис. 2.1. Построение линий влияния.
-
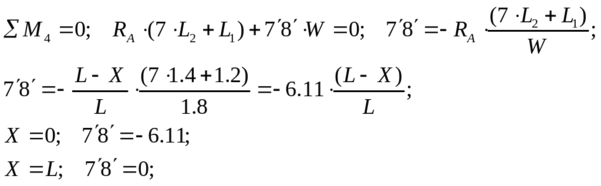
Е. С. левее точки 7/:
Составим уравнение моментов относительно точки 7/:
где 43 – усилие в стержне Н4 направленное из точки 4 в точку 3.
-
Линия влияния стержня В8:
-
Е. С. правее точки 8/:
Составим уравнение моментов относительно точки 4:
где 7/8/ – усилие в стержне В8 направленное из точки 7/ в точку 8/.
-
Е. С. левее точки 8/:
Составим уравнение моментов относительно точки 4:
где 8/ 7/– усилие в стержне В8 направленное из точки 8/ в точку 7/.
-
Линия влияния стержня Р8:
-
Е. С. правее точки 8/:
Составим уравнение проекций сил на вертикальную ось:
где 7/4 – усилие в стержне Р8 направленное из точки 7/ в точку 4.
-
Е. С. левее точки 7/:
Составим уравнение проекций сил на вертикальную ось:
где 47/ – усилие в стержне Р8 направленное из точки 4 в точку 7/.
-
Линия влияния стержня С2:
Составим уравнение проекций сил на вертикальную ось в точке 2/:
где 2/1 – усилие в стержне С2 направленное из точки 2/ в точку 1.
-
Линия влияния стержня С1:
Составим уравнение проекций сил на вертикальную ось в точке 0/:
где 0/0 – усилие в стержне С1 направленное из точки 0/ в точку 0.
-
Определение усилий в стержнях от распределенной и сосредоточенной нагрузки.
-
Стержень Н4;
-
Усилие от распределенной нагрузки:
-
где Q=0.39 кН – распределенная нагрузка;
- площадь ограниченная линией влияния (заштрихованная область).
Все координаты (y1…y8) находятся с помощью метода подобия и берутся с учетом своего знака.
-
Усилие от сосредоточенной нагрузки:
а) Максимальное усилие:
где D=75 кН – вертикальная сила давления от колес тележки;
где LT=2.5 м – расстояние между колесами тележки (база тележки);
б) Минимальное усилие:
-
Стержень В8;
-
Усилие от распределенной нагрузки:
-
Усилие от сосредоточенной нагрузки:
а) Максимальное усилие:
б) Минимальное усилие:
-
Стержень Р8;
-
Усилие от распределенной нагрузки:
где а – координата пресечения линией влияния нуля (находиться методом подобия).
-
Усилие от сосредоточенной нагрузки:
а) Максимальное усилие:
б) Минимальное усилие:
-
Стержень С2;
-
Усилие от распределенной нагрузки:
-
Усилие от сосредоточенной нагрузки:
а) Максимальное усилие:
б) Минимальное усилие:
-
Стержень С1:
-
Усилие от распределенной нагрузки:
-
Усилие от сосредоточенной нагрузки:
а) Максимальное усилие:
б) Минимальное усилие:
-
Усилие в остальных стержнях:
Усилие для остальных стержней от нагрузок действующих на главную и горизонтальную фермы найдены с помощью расчетной программы и представлены в приложении.
-
Определение расчетных усилий в стержнях.
-
Главная ферма:
-
-
Верхний пояс:
где Nmax – максимальное усилие в стержне;
Nmin – минимальное усилие в стержне;
N(Q) – усилие в стержне от распределенной нагрузки;
N(QG) – усилие в стержне от распределенной горизонтальной нагрузки;
N(DG) – усилие в стержне от горизонтальной инерционной нагрузки;
Nmin(D) – минимальное усилие от силы давления колес тележки в стержне;
Nmax(D) – максимальное усилие от силы давления колес тележки в стержне.
-
Нижний пояс:
-
Раскосы:
-
Стойки:
-
Горизонтальная ферма:
-
Раскосы:
-
-
Стойки:
Результаты расчетов по приведенным выше формулам сведены в таблицу 4.1..
Таблица 4.1. Максимальные и минимальные усилие в стержнях главной и
горизонтальной фермы.
| Стержень | Главная ферма | Горизонтальная ферма | |||||
| Nmax, kH | Nmin, kH | | Nmax, kH | Nmin, kH | | ||
| В1 |
| 0 | 0 | ||||
| В2 | -212,1 | 1,1 | -0,005 | ||||
| В3 | -217,6 | -4,4 | 0,02 | ||||
| В4 | -382,1 | -7,8 | 0,02 | ||||
| В5 | -382,1 | -7,8 | 0,02 | ||||
| В6 | -474,7 | -9,9 | 0,02 | ||||
| В7 | -474,7 | -9,9 | 0,02 | ||||
| В8 | -495 | -10,6 | 0,021 | ||||
| Н1 | 155,9 | 3,6 | 0,023 | ||||
| Н2 | 307,3 | 6,3 | 0,02 | ||||
| Н3 | 435,2 | 9 | 0,02 | ||||
| Н4 | 491,4 | 10,4 | 0,021 | ||||
| Р1 | -127 | -4,6 | 0,029 | -23,3 | 23,3 | -1 | |
| Р2 | 102 | 2,6 | 0,025 | 23,6 | -23,6 | -1 | |
| Р3 | -148,5 | 7,9 | -0,053 | -21,7 | 21,7 | -1 | |
| Р4 | 135,7 | -20,7 | -0,152 | 19,8 | -19,8 | -1 | |
| Р5 | -122,9 | 33,4 | -0,272 | -17,9 | 17,9 | -1 | |
| Р6 | 110,1 | -46,2 | -0,42 | 16,1 | -16,1 | -1 | |
| Р7 | -97,3 | 59 | -0,61 | -14,2 | 14,2 | -1 | |
| Р8 | 84,5 | -71,8 | -0,85 | 12,4 | -12,4 | -1 | |
| С1 | -75,2 | -0,2 | 0.003 | -9 | 9 | -1 | |
| С2 | -75,5 | -0,5 | 0.007 | -9,1 | 9,1 | -1 | |
| С3 | -75,5 | -0,5 | 0.007 | -9,1 | 9,1 | -1 | |
-
Расчет сечений главной фермы первого варианта.
-
Расчет сечения верхнего пояса:
Верхний пояс, помимо растягивающих усилий, испытывает изгибную нагрузку в вертикальной и горизонтальной плоскости. В вертикальной плоскости действует изгибающая сила от веса груза (D), в горизонтальной плоскости действует инерционная сила (DG), связанная с разгоном или торможением крана, когда колесо тележки расположено посередине верхнего пояса.
Рис.13 Нагрузки на верхний пояс.
Характеристики
Тип файла документ
Документы такого типа открываются такими программами, как Microsoft Office Word на компьютерах Windows, Apple Pages на компьютерах Mac, Open Office - бесплатная альтернатива на различных платформах, в том числе Linux. Наиболее простым и современным решением будут Google документы, так как открываются онлайн без скачивания прямо в браузере на любой платформе. Существуют российские качественные аналоги, например от Яндекса.
Будьте внимательны на мобильных устройствах, так как там используются упрощённый функционал даже в официальном приложении от Microsoft, поэтому для просмотра скачивайте PDF-версию. А если нужно редактировать файл, то используйте оригинальный файл.
Файлы такого типа обычно разбиты на страницы, а текст может быть форматированным (жирный, курсив, выбор шрифта, таблицы и т.п.), а также в него можно добавлять изображения. Формат идеально подходит для рефератов, докладов и РПЗ курсовых проектов, которые необходимо распечатать. Кстати перед печатью также сохраняйте файл в PDF, так как принтер может начудить со шрифтами.















