1-15 (1041445)
Текст из файла
Московский Государственный Технический Университет
им. Н. Э. Баумана
РАСЧЕТНО-ПОЯСНИТЕЛЬНАЯ записка
к курсовому проекту
«Сварные конструкции»
Студент: Федонин С.О. Гр. МТ7 – 81
Консультант: Коновалов А.В. Дата: ,
Москва. 2015.
-
Аннотация.
Целью данного курсового проекта является анализ двух вариантов изготовления сварных пространственных узлов главной и горизонтальной фермы мостового крана. Первый вариант рассчитан и спроектирован, исходя из условия удобства сборки и сварки (с минимальным применением механической обработки: стержни ферм изготавливаются из прокатных элементов, соединяемых внахлестку угловыми швами). Второй, исходя из условия минимизации концентрации напряжений в сварных швах пространственных узлов (ферма минимальной массы с соединениями встык).
Проект выполнен на 4-х листах формата А1, содержащих: общий вид мостового крана для обоих вариантов, конструкции основных узлов ферм «технологичного» и «экономичного» вариантов, а так же эскизный проект стенда для сборки и сварки верхнего пояса 2-го варианта. Пояснительная записка содержит 49 листов формата А4, на которых представлены расчеты, таблицы и иллюстрации.
В ходе выполнения проекта были рассчитаны усилия в отдельных стержнях фермы, определены необходимые размеры поперечных сечений стержней, удовлетворяющие условиям выносливости, устойчивости и статической прочности, детально разработаны основные пространственные сварные узлы конструкции.
2. Описание конструкции и условий работы мостового крана.
2.1. Основные конструктивные элементы и их назначение.
Мостовые краны применяют в цехах ремонтных предприятий и производственных цехах предприятий строительной индустрии.
Конструкции специальных мостовых кранов весьма разнообразны. Эти краны могут быть поступательно перемещающимися по крановым рельсам или вращающимися вокруг вертикальной оси. К вращающимся кранам относятся хордовые, радиальные и поворотные.
Поступательно перемещающиеся мостовые краны часто снабжают крюками, скобами либо специальными грузозахватными устройствами (магнитами, грейферами, механическими клещами). Механизмы мостового крана обеспечивают три движения: подъем груза, передвижение тележки и передвижение моста. Мостовые краны снабжены тележками, предназначенными для подъема и перемещение груза вдоль пролета. Тележки могут перемещаться по рельсам, закрепленные на верхних или нижних поясах мостов.
Тележки, перемещающиеся по верхним и нижним поясам балок мостов, могут быть снабжены поворотными стрелами, опорно-поворотными устройствами и поворотными частями, вращающимися вокруг вертикальных осей. На поворотных осях расположены стрелы, снабженные грузозахватными устройствами.
Мост крана состоит из двух пространственных ферм, соединённых с концевыми балками. На верхнем поясе пролётной балки закреплён тележечный рельс, на концах которого установлены упоры для ограничения крайних положений тележки.
Механизмы передвижения с цилиндрическими колёсами выполнены по различным схемам: с центральным приводом от одного двигателя, с тормозом и редуктором на два колеса, с раздельным приводом на каждое колесо, а также с фланцевым двигателем и навесным редуктором. Наряду с цилиндрическими колёсами, применяются колёса конической формы. Приводные конические колёса механизмов при центральном приводе установлены вершиной конуса в наружную сторону. У механизмов с раздельным приводом конические колёса устанавливают вершиной конуса в наружную сторону, а неприводные — во внутреннюю. Такая схема называется «обратным конусом». Такая установка колёс центрирует кран на рельсовых путях и не вызывает его перекосов при прохождении искривлённых участков рельсовых путей.
Грузовая тележка состоит из рамы, на которой из унифицированных узлов собраны механизмы подъёма груза и передвижения тележки. Рама выполнена из опирающихся на ходовые колёса двух продольных балок, соединённых поперечными балками и покрытых сверху листом настила. На тележке предусмотрены ограничители высоты подъёма крюковой обоймы, линейка для выключателей её крайних положений на мосту крана, буфера и перила ограждения.
2.2. Нагрузки, действующие на элементы крана в процессе эксплуатации.
Все элементы мостового крана (металлоконструкция, канаты, тележка, а также подкрановые пути) находятся в нагруженном состоянии под действием собственного веса, веса механизмов и поднимаемого груза. При подъеме и опускании, а также при перемещение груза возникают дополнительные нагрузки от действующих сил инерции. Все нагрузки на элементы мостового крана можно разделить на статические и динамические. Статическая нагрузка создается весом поднятого груза и весом самого крана в состояния покоя. Динамическая нагрузка возникает в процессе разгона и торможения крановых механизмов.
Действующие нагрузки вызывают в элементах крана различные напряжения (растяжение, сжатие, изгиб, кручение и их комбинации). Напряжения зависят от действующей нагрузки и могут быть постоянными (при действии статической нагрузки) или переменными (при действии динамической нагрузки). Напряжения вызывают деформации элементов крана, изменяя их первоначальное состояние. Деформации могут быть упругими или пластическими. Упругие деформации исчезают при снятии нагрузки, т.е. крановая деталь после снятия нагрузки принимает свое первоначальное состояние. Пластические деформации приводят к необратимым изменениям элементов крана и служат причинами нарушения работоспособности крановых механизмов. Поэтому все элементы крана должны испытывать при работе только упругие деформации, а наличие пластических деформаций, приводящих к необратимым изменениям крановых деталей, недопустимо.
Допустимые нагрузки и воздействия на мостовые краны указаны в СНиП 2.01.07-85* [7].
2.3. Возможные предельные состояния элементов.
Различают три вида предельных состояний:
– состояние по несущей способности (прочности, устойчивости и выносливости), при достижении которого конструкция теряет способность сопротивляться внешним воздействиям или в ней возникают такие остаточные изменения, при которых она перестает удовлетворять предъявляемым к ней эксплуатационным требованиям;
– состояние по развитию чрезмерных деформаций от статических или динамических нагрузок, при достижении которого в конструкции, сохраняющей прочность и устойчивость, появляются обратимые деформации или колебания, вследствие чего конструкция перестает удовлетворять предъявляемым к ней эксплуатационным требованиям;
– состояние по образованию и раскрытию трещин, при достижении которого в конструкции, сохраняющей прочность и устойчивость, появляются и раскрываются крупные трещины, что исключает возможность дальнейшей эксплуатации конструкции (например, вследствие потери водонепроницаемости в связи с опасностью коррозии из-за повреждения антикоррозийного покрытия и т. п.).
-
Определение усилий в элементах главной фермы.
-
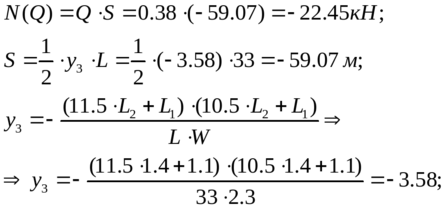
Построение линий влияния.
Уравнение моментов относительно точки В:
Уравнение моментов относительно точки А:
-
Панель нижнего пояса Н6:
Уравнение моментов относительно точки 11/:
Уравнение моментов относительно точки 6:
где 65 – усилие в стержне Н6 направленное из точки 6 в точку 5.
-
Панель верхнего пояса В12:
Уравнение моментов относительно точки 6:
Уравнение моментов относительно точки 6:
3.1.3 Раскос Р12:
Уравнение проекций сил на вертикальную ось:
Уравнение проекций сил на вертикальную ось:
3.1.4. Стойки
Линия влияния стержня С2:
Уравнение проекций сил на вертикальную ось в точке 2/:
Линия влияния стержня С1:
Уравнение проекций сил на вертикальную ось в точке 0/:
-
Определение усилий в стержнях от распределенной и сосредоточенной нагрузки.
Стержень Н6;
а) Усилие от распределенной нагрузки:
б) Максимальное усилие от сосредоточенной нагрузки:
в) Минимальное усилие от сосредоточенной нагрузки:
Стержень В12;
а) Усилие от распределенной нагрузки:
б) Максимальное усилие от сосредоточенной нагрузки:
в) Минимальное усилие от сосредоточенной нагрузки:
Стержень Р12;
А) Усилие от распределенной нагрузки:
Б) Максимальное усилие от сосредоточенной нагрузки:
В) Минимальное усилие от сосредоточенной нагрузки:
Стержень С2;
А) Усилие от распределенной нагрузки:
Б) Максимальное усилие от сосредоточенной нагрузки:
В) Минимальное усилие от сосредоточенной нагрузки:
Стержень С1;
А) Усилие от распределенной нагрузки:
Б) Максимальное усилие от сосредоточенной нагрузки:
Характеристики
Тип файла документ
Документы такого типа открываются такими программами, как Microsoft Office Word на компьютерах Windows, Apple Pages на компьютерах Mac, Open Office - бесплатная альтернатива на различных платформах, в том числе Linux. Наиболее простым и современным решением будут Google документы, так как открываются онлайн без скачивания прямо в браузере на любой платформе. Существуют российские качественные аналоги, например от Яндекса.
Будьте внимательны на мобильных устройствах, так как там используются упрощённый функционал даже в официальном приложении от Microsoft, поэтому для просмотра скачивайте PDF-версию. А если нужно редактировать файл, то используйте оригинальный файл.
Файлы такого типа обычно разбиты на страницы, а текст может быть форматированным (жирный, курсив, выбор шрифта, таблицы и т.п.), а также в него можно добавлять изображения. Формат идеально подходит для рефератов, докладов и РПЗ курсовых проектов, которые необходимо распечатать. Кстати перед печатью также сохраняйте файл в PDF, так как принтер может начудить со шрифтами.















