Занятие 1. Интегрирование систем линейных однородных дифференциальных уравнений с постоянными коэффициентами (1032355)
Текст из файла
Занятие 1. Интегрирование систем линейных однородных дифференциальных уравнений с постоянными коэффициентами. Общее решение. Фундаментальная система решений. Интегрирование систем линейных неоднородных дифференциальных уравнений методом вариации постоянных.
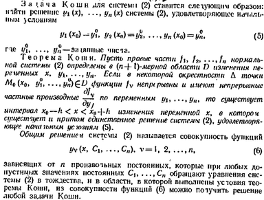
Основные понятия. Связь с дифференциальными уравнениями n-го порядка. Ecли система k дифференциальных уравнений, связывающая независимую переменную х и k функций у1(x), ..., yk(х), разрешена относительно старших производных этих функций, то есть имеет вид
то она называется канонической, причем число n = p1 + ... + pk называется порядком системы. Каноническая система (1) при p1 = ... = pk = 1, т.е. система дифференциальных уравнений 1-го порядка
называется нормальной системой.
Решением системы (2) на интервале а < х < b называется совокупность функций y1 = φ1(x), ..., yn = φn(x) непрерывно дифференцируемых на (а, b) и обращающих уравнения системы (2) в тождества относительно x ∈ (а, b).
Интегралом нормальной системы (2) называется функция
, определенная и непрерывная вместе с частными производными в некоторой области D изменения переменных и принимающая при любых x ∈ (а, b) постоянное значение при подстановке в нее произвольного решения системы.
Равенство
, где
− интеграл нормальной системы, а С − произвольная постоянная, называется первым интегралом системы (2).
Дифференциальное уравнение n-го порядка
можно свести к нормальной системе (2). Обратно, системы (1) или (2) в большинстве случаев сводятся к дифференциальному уравнению n-го порядка, решая которое можно найти и решение исходной системы.
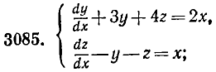
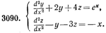
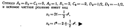
Домашнее задание. Решить следующие системы линейных дифференциальных уравнений с постоянными коэффициентами. Там, где даны начальные условия, кроме общего решения, найти соответствующее частное решение:
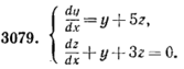
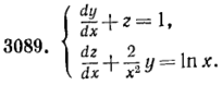
Найти решения следующих систем уравнений:
Характеристики
Тип файла документ
Документы такого типа открываются такими программами, как Microsoft Office Word на компьютерах Windows, Apple Pages на компьютерах Mac, Open Office - бесплатная альтернатива на различных платформах, в том числе Linux. Наиболее простым и современным решением будут Google документы, так как открываются онлайн без скачивания прямо в браузере на любой платформе. Существуют российские качественные аналоги, например от Яндекса.
Будьте внимательны на мобильных устройствах, так как там используются упрощённый функционал даже в официальном приложении от Microsoft, поэтому для просмотра скачивайте PDF-версию. А если нужно редактировать файл, то используйте оригинальный файл.
Файлы такого типа обычно разбиты на страницы, а текст может быть форматированным (жирный, курсив, выбор шрифта, таблицы и т.п.), а также в него можно добавлять изображения. Формат идеально подходит для рефератов, докладов и РПЗ курсовых проектов, которые необходимо распечатать. Кстати перед печатью также сохраняйте файл в PDF, так как принтер может начудить со шрифтами.
















