Курсовая работа (1027828), страница 2
Текст из файла (страница 2)
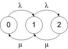
Рисунок 11 Вероятностный граф состояний
На Рисунок 11 представлен процесс «гибели и размножения». Для него вероятность нахождения в любом состоянии при установившемся режиме работы системы будет определяться по следующей формуле:
4.1. Расчет схемы с нагруженным резервом
4.1.1. Расчет характеристик надежности
Так как состояние S = 2 является не рабочим, то КГ вычислим следующим образом:
4.1.2. Исследование факторов, влияющих на надежность
4.1.2.1. Влияние на надежность системы интенсивности отказов
Ниже представлены графики зависимости КГ, mt, mtв, R(t) от интенсивности отказов
Рисунок 12 Зависимость коэффициента готовности системы от интенсивности потока отказов
Рисунок 13 Зависимость времени наработки на отказ системы от интенсивности потока отказов
Рисунок 14 Зависимость времени восстановления системы от интенсивности потока отказов
Рисунок 15 Зависимость вероятности успешного использования системы от интенсивности потока отказов
4.1.2.2. Влияние на надежность системы интенсивности восстановления
Ниже представлены графики зависимости Кг, mt, mtв, R(t) от интенсивности восстановления μ.
Рисунок 16 Зависимость коэффициента готовности системы от интенсивности восстановления
Рисунок 17 Зависимость времени наработки на отказ системы от интенсивности восстановления
Рисунок 18 Зависимость времени восстановления системы от интенсивности восстановления
Рисунок 19 Зависимость вероятности успешного использования системы от интенсивности восстановления
4.1.2.3. Влияние на надежность системы числа нагруженных резервных блоков
Ниже представлены графики зависимости Кг, mt, mtв, R(t) от числа нагруженных резервных блоков S.
Рисунок 20 Зависимость коэффициента готовности системы от количества нагруженных резервных блоков
Рисунок 21 Зависимость времени наработки на отказ системы от количества нагруженных резервных блоков
Рисунок 22 Зависимость времени наработки на отказ системы от количества нагруженных резервных блоков (логарифмическая шкала)
Рисунок 23 Зависимость времени восстановления системы от количества нагруженных резервных блоков
Рисунок 24 Зависимость вероятности успешного использования системы от количества нагруженных резервных блоков
4.2. Расчет схемы с ненагруженным резервом
4.2.1. Расчет характеристик надежности
Необходимо рассчитать показатели надёжности для восстанавливаемой резервированной системы с целой кратностью при ограниченном ремонте с ненагруженным резервом (схема 6б). Ненагруженный резерв – резервный элемент не несёт нагрузок, а включаются, если основной элемент вышел из строя.
Рассчитаем коэффициент готовности системы КГ, среднее время наработки на отказ mt, среднее время восстановления mtв, вероятности успешного использования системы R(t) = KГ Р(t) (P(t) – вероятность безотказной работы системы).
Для определения КГ построим вероятностный граф состояний (ВГС). В системе выделим S = 2 состояния. За состояние примем количество неисправных элементов системы. Рабочими состояниями являются состояния от 0 по S – 1 = 1 (Рисунок 25).
Рисунок 25 Вероятностный граф состояний
4.2.2. Исследование факторов, влияющих на надежность
4.2.2.1. Влияние на надежность системы интенсивности отказов
Ниже представлены графики зависимости Кг, mt, mtв, R(t) от интенсивности отказов λ.
Рисунок 26 Зависимость коэффициента готовности системы от интенсивности потока отказов
Рисунок 27 Зависимость времени наработки на отказ системы от интенсивности потока отказов
Рисунок 28 Зависимость времени восстановления системы от интенсивности потока отказов
Рисунок 29 Зависимость вероятности успешного использования системы от интенсивности потока отказов
4.2.2.2. Влияние на надежность системы интенсивности восстановления
Ниже представлены графики зависимости Кг, mt, mtв, R(t) от интенсивности восстановления .
Рисунок 30 Зависимость коэффициента готовности системы от интенсивности восстановления
Рисунок 31 Зависимость времени наработки на отказ системы от интенсивности восстановления
Рисунок 32 Зависимость времени восстановления системы от интенсивности восстановления
Рисунок 33 Зависимость вероятности успешного использования системы от интенсивности восстановления
4.2.2.3. Влияние на надежность системы числа ненагруженных резервных блоков
Ниже представлены графики зависимости КГ, mt, mtв, R(t) от числа ненагружены резервных блоков S.
Рисунок 34 Зависимость коэффициента готовности системы от количества ненагруженных резервных блоков
Рисунок 35 Зависимость времени наработки на отказ системы от количества ненагруженных резервных блоков
Рисунок 36 Зависимость времени наработки на отказ системы от количества ненагруженных резервных блоков (логарифмическая шкала)
Рисунок 37 Зависимость времени восстановления системы от количества ненагруженных резервных блоков
Рисунок 38 Зависимость вероятности успешного использования системы от количества ненагруженных резервных блоков
4.3. Расчет схемы с частично нагруженным резервом
4.3.1. Расчет характеристик надежности
Необходимо рассчитать показатели надёжности для восстанавливаемой резервированной системы с целой кратностью при ограниченном ремонте с частично нагруженным резервом (схема 6в). Частично нагруженный резерв – резервные элементы находятся в менее нагруженном режиме, чем основной.
Рассчитаем коэффициент готовности системы Кг, среднее время наработки на отказ mt, среднее время восстановления mtв, вероятности успешного использования системы R(t) = Kг Р(t) (P(t) – вероятность безотказной работы системы).
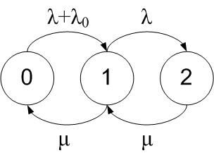
Для определения КГ построим вероятностный граф состояний (ВГС). В системе выделим S = 2 состояния. За состояние примем количество неисправных элементов системы. Рабочими состояниями являются состояния от 0 по S – 1 = 1 (Рисунок 39).
Рисунок 39 Вероятностный граф состояний
4.3.2. Исследование факторов, влияющих на надежность
4.3.2.1. Влияние на надежность системы интенсивности отказов
Ниже представлены графики зависимости КГ, mt, mtв, R(t) от интенсивности отказов .
Рисунок 40 Зависимость коэффициента готовности системы от интенсивности потока отказов
Рисунок 41 Зависимость времени наработки на отказ системы от интенсивности потока отказов
Рисунок 42 Зависимость времени восстановления системы от интенсивности потока отказов
Рисунок 43 Зависимость вероятности успешного использования системы от интенсивности потока отказов
4.3.2.2. Влияние на надежность системы интенсивности восстановления
Ниже представлены графики зависимости Кг, mt, mtв, R(t) от интенсивности восстановления μ.
Рисунок 44 Зависимость коэффициента готовности системы от интенсивности восстановления
Рисунок 45 Зависимость времени наработки на отказ системы от интенсивности восстановления
Рисунок 46 Зависимость времени восстановления системы от интенсивности восстановления
Рисунок 47 Зависимость вероятности успешного использования системы от интенсивности восстановления
4.3.2.3. Влияние на надежность системы числа нагруженных резервных блоков
Ниже представлены графики зависимости Кг, mt, mtв, R(t) от числа нагруженных резервных блоков S.
Рисунок 48 Зависимость коэффициента готовности системы от количества нагруженных резервных блоков
Рисунок 49 Зависимость времени наработки на отказ системы от количества нагруженных резервных блоков
Рисунок 50 Зависимость времени наработки на отказ системы от количества нагруженных резервных блоков (логарифмическая шкала)
Рисунок 51 Зависимость времени восстановления системы от количества нагруженных резервных блоков
Рисунок 52 Зависимость вероятности успешного использования системы от количества нагруженных резервных блоков
4.3.2.4. Влияние на надежность системы интенсивности отказов при облегчённом режиме работы
Ниже представлены графики зависимости Кг, mt, mtв, R(t) от интенсивности отказов при облегчённом режиме работы 0.
Рисунок 53 Зависимость коэффициента готовности системы от интенсивности потока отказов при облегченном режиме работы
Рисунок 54 Зависимость времени наработки на отказ системы от интенсивности потока отказов при облегченном режиме работы
Рисунок 55 Зависимость времени восстановления системы от интенсивности потока отказов при облегченном режиме работы















