Курсовая работа (1027828)
Текст из файла
Московский государственный технический университет им. Н. Э. Баумана
| ПРЕПОДАВАТЕЛЬ: | |
| Кузовлев В. И. | «__»_________2009 г. |
Курсовая работа
по курсу «Надежность и достоверность в АСОИУ»
на тему «Исследование методов резервирования систем»
Вариант 8
| ИСПОЛНИТЕЛЬ: |
| студент группы ИУ5-104 |
| Иванов Н. А. |
Москва — 2009
Содержание
1. Задание 2
Цель работы 2
2. Исходные данные 3
3. Расчет невосстанавливаемой резервированной системы с комбинированным резервом 3
3.1. Характеристики системы с резервированием 3
3.1.1. Расчет характеристик надежности 3
3.1.2. Исследование факторов, влияющих на надежность 6
3.1.2.1. Интенсивность отказов 6
3.1.2.2. Количество резервных блоков в горячем резерве 8
3.1.2.3. Количество резервных блоков в холодном резерве 9
3.2. Характеристики системы без резервирования 10
4. Расчет восстанавливаемой резервированной системы с целой кратностью при ограниченном ремонте 11
4.1. Расчет схемы с нагруженным резервом 11
4.1.1. Расчет характеристик надежности 11
4.1.2. Исследование факторов, влияющих на надежность 13
4.1.2.1. Влияние на надежность системы интенсивности отказов 13
4.1.2.2. Влияние на надежность системы интенсивности восстановления 15
4.1.2.3. Влияние на надежность системы числа нагруженных резервных блоков 17
4.2. Расчет схемы с ненагруженным резервом 19
4.2.1. Расчет характеристик надежности 19
4.2.2. Исследование факторов, влияющих на надежность 20
4.2.2.1. Влияние на надежность системы интенсивности отказов 20
4.2.2.2. Влияние на надежность системы интенсивности восстановления 22
4.2.2.3. Влияние на надежность системы числа ненагруженных резервных блоков 24
4.3. Расчет схемы с частично нагруженным резервом 27
4.3.1. Расчет характеристик надежности 27
4.3.2. Исследование факторов, влияющих на надежность 28
4.3.2.1. Влияние на надежность системы интенсивности отказов 28
4.3.2.2. Влияние на надежность системы интенсивности восстановления 29
4.3.2.3. Влияние на надежность системы числа нагруженных резервных блоков 31
4.3.2.4. Влияние на надежность системы интенсивности отказов при облегчённом режиме работы 34
4.4. Характеристики системы без резервирования 36
5. Выводы 37
5.1. Сравнение по критериям надежности различных типов систем 37
5.1.1. Сравнение резервированной и нерезервированной невосстанавливаемых систем 37
5.1.2. Сравнение резервированной и нерезервированной восстанавливаемых систем 37
5.1.3. Сравнение различных типов резерва 38
5.2. Общие выводы по работе 38
6. Список литературы 40
1. Задание
Цель работы
Изучение и исследование методов структурного резервирования восстанавливаемых и невосстанавливаемых систем.
Для заданных расчетно-логических схем систем (резервных групп):
1. Получить методами интегральных, дифференциальных уравнений и методом графов (не менее чем двумя методами) для указанных типов систем общие соотношения и расчетные формулы для следующих критериев надежности систем:
-
— среднее время безотказной работы (для невосстанавливаемых систем) или среднее время наработки на отказ (для восстанавливаемых систем);
Параметры 4, 5, 6 рассчитываются только для восстанавливаемых систем.
2. Рассчитать для указанных в задании параметров по полученным в пункте 1 формулам критерии надежности систем.
3. Исследовать влияние на надежность систем:
4. Провести сравнение (по вероятности безотказной работы, среднему времени безотказной работы и коэффициенту готовности):
-
Резервированной и не резервированной систем,
-
Различных типов резерва,
-
Восстанавливаемой и невосстанавливаемой систем,
-
Целой и дробной кратности.
2. Исходные данные
| Вариант | Типы систем | t, ч | λ, ч-1 | μ, ч-1 | λ0, ч-1 | W | S |
| 8 | 4; 6абв | 4800 | 1•10-3 | 0,2 | 5•10-4 | 4 | 2 |
3. Расчет невосстанавливаемой резервированной системы с комбинированным резервом
3.1. Характеристики системы с резервированием
3.1.1. Расчет характеристик надежности
Необходимо рассчитать показатели надежности для невосстанавливаемой резервированной системы с комбинированным резервом (схема 4). Комбинированный резерв — часть элементов находятся в горячем резерве, а часть в холодном.
Рассчитаем вероятность безотказной работы P(t) и среднее время безотказной работы mt. Найдем вероятностные характеристики данной системы методом дифференциальных уравнений.
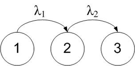
Для этого сначала построим вероятностный граф состояний (ВГС). В системе выделим 3 состояния: 1 — работает горячий резерв, 2 — работает холодный резерв, система не работает. За рабочие состояния примем 1 и 2 (Рисунок 1).
Рисунок 1Вероятностный граф состояний
На ВГС L1 — интенсивность отказов системы, состоящей из W элементов, находящихся в горячем резерве, L2 — интенсивность отказов системы, состоящей из S элементов, находящихся в холодном резерве.
На основе приведенного ВГС запишем систему дифференциальных уравнений:
Решаем эту систему уравнений. Сначала найдем P0(t):
Теперь найдем P1(t):
Будем искать решение в виде:
Подставим P2(t) в исходное уравнение:
Теперь найдем P2(t):
Проверка. Должно выполняться нормировочное условие:
т.е. сумма вероятностей нахождения во всех состояниях = 0.
Решение системы уравнений следующее:
Таким образом, вероятность безотказной работы системы будет равна:
При = 0,001 и t = 4800
принимает значение
.
Среднее время безотказной работы системы:
3.1.2. Исследование факторов, влияющих на надежность
3.1.2.1. Интенсивность отказов
Рисунок 2 Зависимость надежности работы системы от интенсивности потока отказов
Рисунок 3 Зависимость времени безотказной работы системы от интенсивности потока отказов (средняя λ)
Рисунок 4 Зависимость времени безотказной работы системы от интенсивности потока отказов (высокая λ)
Рисунок 5 Зависимость времени безотказной работы системы от интенсивности потока отказов (низкая λ)
3.1.2.2. Количество резервных блоков в горячем резерве
Рисунок 6 Зависимость надежности работы системы от количества резервных блоков в горячем резерве
Рисунок 7 Зависимость времени безотказной работы системы от количества резервных блоков в горячем резерве
3.1.2.3. Количество резервных блоков в холодном резерве
Рисунок 8 Зависимость надежности работы системы от количества резервных блоков в холодном резерве
Рисунок 9 Зависимость надежности работы системы от количества резервных блоков в холодном резерве при небольшом количестве резервирующих элементов
Рисунок 10 Зависимость времени безотказной работы системы от количества резервных блоков в холодном резерве
3.2. Характеристики системы без резервирования
4. Расчет восстанавливаемой резервированной системы с целой кратностью при ограниченном ремонте
Необходимо рассчитать показатели надежности для восстанавливаемой резервированной системы с дробной кратностью при ограниченном ремонте для различных типов резервирования.
Рассчитаем коэффициент готовности системы Кг, среднее время наработки на отказ mt, среднее время восстановления mtв, вероятности успешного использования системы R(t) = Kг Р(t) (P(t) – вероятность безотказной работы системы).
Для определения Кг построим вероятностный граф состояний (ВГС). В системе выделим S + 1 = 3 состояния. За состояние примем количество неисправных элементов системы. Рабочими состояниями являются состояния от 0 по S – 1 = 1 (Рисунок 11).
Характеристики
Тип файла документ
Документы такого типа открываются такими программами, как Microsoft Office Word на компьютерах Windows, Apple Pages на компьютерах Mac, Open Office - бесплатная альтернатива на различных платформах, в том числе Linux. Наиболее простым и современным решением будут Google документы, так как открываются онлайн без скачивания прямо в браузере на любой платформе. Существуют российские качественные аналоги, например от Яндекса.
Будьте внимательны на мобильных устройствах, так как там используются упрощённый функционал даже в официальном приложении от Microsoft, поэтому для просмотра скачивайте PDF-версию. А если нужно редактировать файл, то используйте оригинальный файл.
Файлы такого типа обычно разбиты на страницы, а текст может быть форматированным (жирный, курсив, выбор шрифта, таблицы и т.п.), а также в него можно добавлять изображения. Формат идеально подходит для рефератов, докладов и РПЗ курсовых проектов, которые необходимо распечатать. Кстати перед печатью также сохраняйте файл в PDF, так как принтер может начудить со шрифтами.















