Шептунов М. В.етодичка по лабораторным работам по дискретке (1023560), страница 2
Текст из файла (страница 2)
4. Изменить к-ю компоненту в наборе у: ук:=1-ук.
5. Выдать набор у как результат итерации.
Содержание отчета:
1. Текст программы на C++ либо Visual Basic (допускается в среде
Delphi);
-
Найти все подмножества заданного множества одним из
предложенных способов.
Лабораторная работа N03
Численная проверка комбинаторного принципа
включений и исключений
Цель работы: изучение комбинаторного принципа включений и
исключений на примере подмножеств и его численная проверка.
Содержание работы:
1. Разработка алгоритма для определения мощности объединения подмножеств исходного конечного множества.
2. Разработка и отладка программы для определения мощности объединения подмножеств.
3. Численная проверка комбинаторного принципа включений
и исключений на основе отлаженной программы.
Краткие теоретические сведения
Пусть даны подмножества A1, …, An (необязательно различные) некоторого конечного множества X, и пусть требуется найти мощность их объединения
.
В первом “приближении” этой мощности можем принять
.
Но это число, очевидно, будет слишком велико, ибо, если имеет место
,
то принадлежащие пересечению
элементы будут посчитаны дважды.
В связи с этим имеет место следующая теорема, более известная как принцип включений и исключений:
Теорема (принцип включений и исключений).
. (*)
Один из возможных случаев принципа включений и исключений изображён на рис. 1. Для этого рисунка, в частности, указанный принцип (*) запишется в виде:
. (**)
Рис. 1. Частный случай принципа включений и исключений.
Методика выполнения работы
1. Разработать общий алгоритм определения мощности объединения подмножеств согласно выражению (**).
2. Составить подпрограмму вычисления
.
3. Составить подпрограмму вычисления
.
4. Составить подпрограмму вычисления
.
5. Составить подпрограмму вычисления
.
6. Составить подпрограмму вычисления
.
7. Написать единую программу вычисления выражения (**).
8. Выполнить отладку программы, задавая различные данные.
9. Запустив отлаженную программу, по заданным подмножествам A, B, C заданного конечного множества X найти
.
Примечание. Допускается не выполнять последовательность операций 2…6, т. е. обойтись без использования подпрограмм
(выполнив п. 1, сразу перейти к п. 7).
Содержание отчёта
-
Текст программы на C++ либо Visual Basic (допускается в среде
Delphi);
2. Результаты выполнения программы для заданных значений
исходных данных.
Лабораторная работа №4
Представление графов в эвм
Цель работы: изучение различных форм представления графов в ЭВМ и разработка алгоритмов и программы перевода графа из одного представления в другие.
Содержание работы:
1. Разработка алгоритмов перевода графа из одного представления в другие.
2. Разработка и отладка программы перевода графа из одного представления в другие.
3. Проверка программы на примере заданного графа.
Матричная форма представления графов
Матрица смежности
А
=
, где аij =
Матрица А задает граф с точностью до изоморфизма (по структуре однозначно строится матрица, а по матрице структура).
Два графа эквивалентны, если равны их матрицы смежности.
Два графа эквивалентны, если их матрицы смежности можно получить одинаковыми путем одновременной перестановки строк и столбцов в одной из них.
A6
6 =
Задание 1: Нарисуйте граф.
Для мультиграфа и псевдографа:
aij=
m(xi, xj) – кратность ребер между вершинами хi и хj.
Если на вершинах графа заданы веса, то вводится дополнительный массив V длины n, в котором элемент V(i) задает значение веса вершины графа.
Если на ребрах (дугах) заданы веса, то для неорграфа применяется матрица смежности, но значения элементов равны весам связей.
Для мультиграфа, псевдографа с весами на ребрах и дугах используется трехмерная матрица, где 3-я размерность используется для записи веса ребра, дуги, петли.
Матрица инцидентности
Для неорграфа
S=
, где sij =
S6x7 =
Задание 2: Нарисуйте граф.
Для орграфа учитывается ориентация:
sij =
Каждый столбец содержит один элемент, равный 1, и один элемент, равный –1, либо все элементы равны 0 или константе.
Два графа эквивалентны, если равны их матрицы инцидентности.
Для псевдографа, показанного на рисунке, получим такую матрицу:
S6
9 =
Если заданы веса, то используются дополнительные матрицы весов вершин и ребер (дуг).
Матрица S задает граф с точностью до изоморфизма, основное преимущество матрицы А перед матрицей S в том, что за один шаг алгоритма можно получить ответ на вопрос, есть ли ребро из вершины хi в хj. Основной недостаток матрицы А – большой объем памяти независимо от числа ребер: n2.
Векторная форма представления графов
Задание графа массивом преемников вершин
Матрица смежности отображается по строкам одномерным массивом FO, в котором для каждой вершины, начиная с первой, указываются вершины приемники. Списки приемников отдельных вершин разделяются символом Ø:
| 22 | 55 |
| 11 | 33 | 66 |
| Ю… | … |
Для неорграфа и мультиграфа массив имеет длину 2m+n, для орграфа и псевдографа – m+n.
Если на вершинах и/или ребрах (дугах) заданы веса, то используются дополнительные массивы, в которых элементы содержат значения весов для вершины и/или ребра.
Задание графа массивом предшественников вершин
Здесь матрица смежности отображается по столбцам. Форма массива FI такая же, что и у FO.
Для неорграфов и мультиграфов FO и FI совпадают.
Содержание отчёта
1. Текст программы на C++ либо Delphi (допускается в среде Visual Basic);
2. Результаты выполнения программы для заданного графа.
Лабораторная работа №5
Внутренняя и внешняя устойчивость множества вершин графа
Цель работы:
1. Нахождение максимально внутренне устойчивого множества и минимально внешне устойчивого множества.
2. Определение чисел внутренней и внешней устойчивости графа
Множество SX вершин орграфа называется внутренне устойчивым, если никакие две вершины не смежны, т.е. S Г(S)=.
Теоретические основы:
Внутренне устойчивое множество, не являющееся собственным подмножеством никакого другого множества, называется максимальным внутренне устойчивым множеством.
Число вершин наибольшего по мощности из всех внутренне устойчивых множеств графа называется числом внутренней устойчивости и обозначается (G).
Рассмотрим функцию
(Х1,Х2,…,Хn)=(xixj),
где конъюнкция берется по всем i,j1..n, а Хi - булевы переменные.
Тогда дизъюнктивная форма для функции будет иметь вид:
(Х1,Х2,…,Хn)=(хi1 xi2 …xik)
Теорема 1.
Выражение (хi1xi2…xik) является элементарной конъюнкцией тогда и только тогда, когда множество S={xj1,xj2,…,xjn-k}-максимальное внутренне устойчивое множество. Причем (j1,j2,…,jn-k)(i1,i2,…,ik)={1,2,…,n}.
Множество ТX вершин орграфа G=(X,Г) называется внешне устойчивым, если для любой вершины х выполняется:
Из хТ следует, что Т Г(S).
Число вершин наименьшего по мощности из всех внешне устойчивых множеств графа называется числом внешней устойчивости и обозначается (G)
Теорема 2.
Выражение (хi1 xi2 …xik) является элементарной конъюнкцией дизъюнктивного представления функции (Х1,Х2,…,Хn)=(хi1 xi2 …xik) тогда и только тогда, когда Т={xi1,xi2,…,xik}-минимальное внешне устойчивое множество.
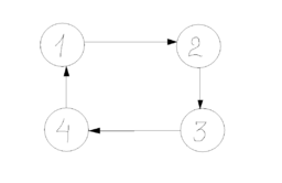
Пример.
Определим все максимальные внутренне устойчивые множества орграфа:
=(х1 х2) (х2 х3) (х3 х4) (х4 х1)= (х2 х1х3) (х4 х1х3)= (х4 х2) (х1 х3)
Первая конъюнкция дает максимальное внутренне устойчивое множество S1={x1,x3}, а вторая- S2={x2,x4} Число внутренней устойчивости (G)=2.
Определим все минимальные внешне устойчивые множества орграфа:
=(х1 х2) (х2 х3) (х3 х4) (х4 х1)= (х2 х1х3) (х4 х1х3)= (х4 х2) (х1 х3)
Первая конъюнкция дает минимальное внешне устойчивое множество Т1={x1,x3}, а вторая- Т2={x2,x4}. Число внешней устойчивости (G)=2
Содержание отчёта
1. Текст программы на C++ либо Delphi (допускается в среде Visual Basic);
2. Результаты выполнения программы для заданного графа.
Лабораторная работа №6
Операции над графами
Цель работы: изучение операций, выполняемых над графами.
Содержание работы:
1. Разработка алгоритмов операций, выполняемых над графами.
2. Разработка и отладка программы для выполнения операций над графами.
















