билеты31 (1022370), страница 2
Текст из файла (страница 2)
Вращение плоскости поляризации. Оптическая активность.
Некоторые вещества наз. оптически активными обладают способностью вращать плоскость поляризации .
d – расстояние пройдённое светом в веществе, - удельное вращение численно равноеуглу поворота плоскости поляризации света слоем в-ва единичной длины, С – массовая концентрация.
Оптически активные в-ва разделяются на прово и левовращающие (если смотреть навстречу лучу и плоскость вращается по часовой стрелке- правовращающее)
Магнитооптический эффект Фарадея – вращение плоскости поляризации в оптически неактивных телах, возникающее под действием магнитного поля.
*******************************************************************
Тепловое излучение.
Свечение тел обусловленное нагреванием называется тепловым излучением. Количественной характеристикой теплового излучения служит спектральная плотность энергетической светимости тела – мощность излучения с единицы площади поверхности тела в интервале частот единичной ширины.
Энергетическая светимость тела
Способность тел поглощать падающее на них излучение характеризуется спектральной поглощательной способностью показывающей какая доля энергии приносимой за единицу времени на единицу площади поверхности тела на неё эл.магн. волнами с частотами от v до v+dv поглощается телом.
Тело способное поглощать полностью при любой температуре всё падающее на него излучение любой частоты называется чёрным.
Закон Кирхгофа – отношение спектральной плотности энергетической светимости к спектральной поглощательной способности не зависит от природы тела, оно является для всех тел универсальной функцией частоты и температуры.
Если тело не поглощает эл.магн. волны какой либо частоты, то оно их не излучает.
Закон Стефана-Больцмана Re = T4
м
аксимум по мере повышения тем-ры смещается в сторону более коротких волн. Площадь ограниченная кривой пропорциональна Re .
Закон смещения Вина
max= b/T (b=2.9 10-3)
Квантовая гипотеза и формула Планка. –атомные осциляторы излучают энергию не непрерывно , а определёнными порциями – квантами причём энергия кванта пропорциональна частоте колебания = hv
(h = 6.625 10-34)
Оптической пирометрией называют методы измерения высоких температур, использующие зависимость спектральной плотности энергетической светимости или интегральной энергетической светимости тел от температуры.
радиационная тем-ра тем-ра тела при которой его энергетическая светимость Re = RT .
цветовая тем-ра определяется из максимума длины волны в спектральной плотности эн. светимости.
Яркостная тем-ра – тем-ра черного тела при которой для определённой длины волны его спектральная плотность эн.светимости равна спектральной плотности исследуемого тела.
******************************************************************
Квантовые свойства света.
Опыт Боте.
Квантовое и волновое объяснения давления света.
Уравнение Эйнштейна.Энергия падающего фотона расходуется на совершение электроном работы выхода из металла и на сообщение вылетевшему электрону кинетической энергии.
- уравнение Энштейна для внешнего фотоэффекта.
законы фотоэффекта
1) число вырваных фотоэлектронов пропорционально интенсивности света. 2) кинетическая энергия фотоэлектрона линейно возрастает с увеличением частоты падающего излучения и не зависит от его интенсивности. 3) при некоторой достаточно малой частоте кин. энергия = 0 и фотоэффект прекратится.
масса фотона
эти выражения связывают корпускулярные характеристики массу , импульс и энергию с волновой характеристикой v(частота).
Давление света
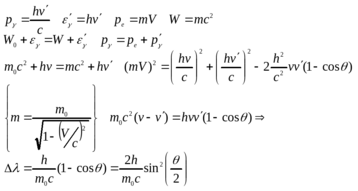
Эффект Комптона и его теория.
Эффектом Комптона называется упругое рассеяние коротковолнового эл.магн. излучения на свободных электронах вещества сопровождающееся увеличением длины волны. Фотон столкнувшись с электроном передает ему часть энергии соответственно уменьшается энергия фотона и увеличивается длина волны.
Тормозное рентгеновское излучение и его коротковолновая граница.
П
ри бомбардировке анода сильно ускоренными электронами возникает рентгеновское излучение представляющее собой эл.магн. волны с длиной волны 10-12 – 10-8 м. Спектр излучения зависит как от материала анода так и от энергии электронов, спектр представляет собой наложение сплошного спектра ограниченного со стороны коротких длин волн мин называемое границей сплошного спектра, и линейчатого спектра – совокупности отдельных линий появляющихся на фоне основного спектра.
Рентгеновские характеристические спектры. Закон Мозли.
При достаточно большой энергии электронов на фоне сплошного спектра появляются резкие линии- линейчатый спектр определяемый материалом анода и называемый характеристическим рентгеновским спектром.
v- частота соответствующая данной линии, R- постоянная Ридберга, - постоянная экранирования
******************************************************************
Боровская теория атома.
Серии в спектре атома водорода могут быть описаны обобщённой формулой Бальмера
R=3,29 1015
1 постулат Бора : в атоме существуют стационарные состояния в которых он не излучает энергии. В стационарном состоянии электрон , двигаясь по круговой орбите, должен иметь дискретные квантованные значения момента импульса удовлетворяющие условию
2 постулат Бора : при переходе электрона с одной стационарной орбиты на другую излучается (поглощается) один фотон с энергией
(при Em<En – излучение). набор возможных дискретных частот квантовых переходов и определяет линейчатый спектр атома.
Боровская теория водородного атома.
n – главное квантовое число, n=1 – основное энергетич. состояние.
n>1 – возбуждённое состояние.
Волновые свойства частиц.
Гипотеза де Бройля. Длина волны де Бройля.
де Бройль утверждал что не только фотоны, но и электроны и любые другие частицы материи наряду с корпускулярными обладают также волновыми свойствами. таким образом любой частице обладающей импульсом сопостовляют волновой процесс с длиной волны
Соотношение неопределенностей.
микрочастица не может иметь одновременно и определённую координату и определённую соответствующую проекцию импульса причём неопределённости этих величин удовлетворяют условиям
Волновая функция и ее статистический смысл.
необходимость вероятностного подхода к описанию микрочастиц является важнейшей отличительной особенностью квантовой теории. По волновому закону меняется не сама вероятность , а величина названная амплитудой вероятности ( (x,y,z,t)) эту величину называют также волновой функцией. Амплитуда вероятности может быть комплексной и вероятность W пропорциональна квадрату её модуля.
. описание состояния микрообъекта с помощью волновой функции имеет статистический , вероятностный характер.
Уравнение Шредингера.
Принцип причинности в квантовой механике.
В квантовой механике начальное состояние 0 есть причина, а состояние впоследующий момент есть следствие.
Принцип соответствия.
законы квантовой механики при больших значениях квантовых чисел должны переходить в законы классической физики.
*******************************************************************
Строение атомного ядра.
Атомное ядро состоит из протонов и нейтронов. протоны и нейтроны называются нуклонами общее число нуклонов называется массовым числом. Ядро характеризуется зарядом Ze где Z – зарядовое число равное числу протонов и совпадающее с порядковым номером в системе Менделеева.
ядра с одинаковыми Z но разными А наз. изотопами. , а ядра с одинаковыми А но разными Z – изобарами
Радиус ядра R = R0 A1/3 (R0 = (1.3 – 1.7)10-15)
Энергией связи ядра называется энергия которую необходимо затратить чтобы расщепить ядро на отдельные нуклоны.
Удельная энергия связи – энергия связи отнесённая к одному нуклону. Она характеризует устойчивость атомных ядер, зависит от массового числа А.
Радиоактивность. Ядерные реакции.
Радиоактивность. Закономерности - и - распадов атомных
ядер.Закон радиоактивного распада. Активность. Ядерные реак-
ции и законы сохранения.
радиоактивность – испускание радиоактивного излучения. также под радиоактивностью понимают способность некоторых атомных ядер самопроизвольно превращаться в другие ядра с испусканием различных видов радиоактивных излучений и элементарных частиц.
закон радиоактивного распада
Активностью А нуклида в радиоактивном источнике называется число распадов происходящих с ядрами образца в 1 сек.
правила смещения
Ядерные реакции – это превращения атомных ядер при взаимодействии с элементарными частицами.
23. Ядерные реакции. Элементарные частицы.
Реакции деления. Цепная реакция. Реакция синтеза. Ядерная и
термоядерная энергетика. Проблема управляемых термоядерных
реакций. Методы получения и наблюдения элементарных частиц.
Космические лучи и ускорители.
24. Фундаментальные взаимодействия.
Элементарные частицы и античастицы Кварки. Виды взаимодействий
и их объединение в рамках единой теории. Систематика элементар-
ных частиц.
Оптика
Закон преломления
- относит. показатель преломления.
- скорости света во 2-й и первой средах.
Линзы
d –расстояние предмета от линзы
f –расстояние от изображения до предмета
F – фокус
D –Оптическая сила линзы [диоптрии]
k - увеличение линзы
















