Лабораторная работа №1 по ТАУ (1021729)
Текст из файла
МОСКВОВСКИЙ ГОСУДАРСТВЕННЫЙ УНИВЕРСИТЕТ ПРИБОРОСТРОЕНИЯ И ИНФОРМАТИКИ
Лабораторная работа №1
по предмету «Теория автоматического управления»
Выполнил: студент вечернего факультета
группы ИТ-6(будни) Васильев О. М.
Проверил: Мельников А.О.
Москва 2012
Цель работы
Построение переходной характеристики линейной динамической системы.
Постановка задачи
Линейная система задана своей передаточной функцией. Требуется построить переходную характеристику системы путем численного решения дифференциального уравнения и с помощью второй теоремы разложения.
Решение
Пусть задано дифференциальное уравнение:
Применим к обоим частям преобразование Лапласа:
Вынесем общий множитель слева:
перейдем к передаточной функции системы:
В качестве численного метода решения дифференциального уравнения будем использовать метод Эйлера. Для этого перейдем от одного уравнения второго порядка к системе из двух уравнений первого порядка:
Введем дополнительную функцию:
Получаем систему:
Выразим производные:
Метод Эйлера:
где
-шаг по времени.
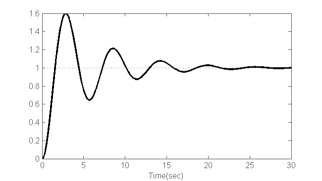
Пример реализации на Matlab:
%function system_step()
clc, clear all ;
h = 1e-2 ;
t = 0:h:30 ;
t = t(:) ;
y = zeros(size(t)) ;
z = zeros(size(t)) ;
for n=1:length(t)-1
y(n+1) = y(n) + h*z(n) ;
z(n+1) = z(n) + h*(-.3*z(n)-y(n)+1)/.8 ;
end
clf ;
plot(t,y, 'Color', [0 0 0],'LineWidth',2), grid off ; xlabel('Time(sec)') ;
set(gca,'XColor',[.3 .3 .3], 'YColor',[.3 .3 .3])
line([t(1) t(end)],[1 1],'Color',[.3 .3 .3], 'LineStyle', ':') ;
Теперь воспользуемся второй теоремой разложения для построения переходной характеристики. В случае нашей системы следует найти обратное преобразование Лапласа от:
Корни знаменателя: p1=-15, p2=-1.5 + 9i, p3=-1.5 + 9i
Производная знаменателя:
Окончательно получаем формулу для переходной характеристики:
Реализация (Matlab):
p=roots([-15, -1.5, -1.5]) ;
h = 1+100/(3*(-15)*3*(-15)+36*(-15)+128.25)*exp((-15)*t)+100/(3*(-1.5)*3*(-1.5)+36*(-1.5)+128.25)*exp((-1.5)*t)
hold on, plot(t,h,'Color', [0.7 0 0],'LineWidth',1) ;
Характеристики
Тип файла документ
Документы такого типа открываются такими программами, как Microsoft Office Word на компьютерах Windows, Apple Pages на компьютерах Mac, Open Office - бесплатная альтернатива на различных платформах, в том числе Linux. Наиболее простым и современным решением будут Google документы, так как открываются онлайн без скачивания прямо в браузере на любой платформе. Существуют российские качественные аналоги, например от Яндекса.
Будьте внимательны на мобильных устройствах, так как там используются упрощённый функционал даже в официальном приложении от Microsoft, поэтому для просмотра скачивайте PDF-версию. А если нужно редактировать файл, то используйте оригинальный файл.
Файлы такого типа обычно разбиты на страницы, а текст может быть форматированным (жирный, курсив, выбор шрифта, таблицы и т.п.), а также в него можно добавлять изображения. Формат идеально подходит для рефератов, докладов и РПЗ курсовых проектов, которые необходимо распечатать. Кстати перед печатью также сохраняйте файл в PDF, так как принтер может начудить со шрифтами.
















