Шпаргалка ( ФИЗИКА 1к 2сем ) (1019904), страница 3
Текст из файла (страница 3)
ток смещения по своей сути – изменяющееся со временем эл. поле.
-
Уравнения Максвелла для электромагнитного поля в интегральной и дифференциальной формах.
источниками эл. поля могут быть либо эл. заряды, либо изменяющиеся по времени магнитные поля, а магнитные поля могут возбуждатся либо движущимися эл. зарядами либо переменными эл. полями.
дифференциальная форма
-
Колебания.
Электромагнитные колебания – колебания при которых эл. величины периодически изменяются и которые сопровождаются взаимными превращениями эл. и магн. полей.
-
Гармонические колебания (механические и электромагнитные) и их характеристики.
Гармоническим осцилятором называется система совершающая колебания, описиваемые уравнениями вида
-
Дифференциальное уравнение гармонических колебаний и его решение.
Для контура R, L, C
-
Дифференциальное уравнение затухающих колебаний (механических и электромагнитных) и его решение.
Дифф. уравнение затухающих колебаний линейной системы
-
Логарифмический декремент и коэффициент затухания.
Если A(t), A(t+T), амплитуды двух последовательных колебаний то отношение
неазывается декрементом затухания, а его логарифм
логарифмическим декрементом затухания
-
Добротность колебательного контура.
характеризует колебательную систему, при малых значениях логарифмического декремента
-
Апериодический процесс.
При увеличении коэффициента затухания период затухающих колебаний растёт и при =0 обращается в бесконечность, т.е. движение перестаёт быть периодическим. В данном случае колеблюющаяся величина асимптотически приближается к нулю когда t . Процесс называется апериодическим.
-
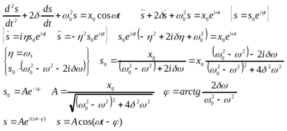
Дифференциальное уравнение вынужденных колебаний и его решение.
Колебания возникающие под действием внешней периодически изменяющейся силы называются вынужденными колебаниями.
-
Резонанс.
Явление резкого возрастания амплитуды вынужденных колебаний при приближении частоты вынуждающей силы к резонансной частоте рез называется резонансом.
-
Сложение гармонических колебаний одного направления и одинаковой частоты.
-
Биения.
Периодические изменения амплитуды колебаний возникающие при сложении двухгармонических колебаний с близкими частотами , называются биениями.
-
Сложение взаимно перпендикулярных колебаний.
-
Уравнение плоской волны.
-
Длина волны и волновое число.
-
Волновое уравнение.
-
Вектор Умова-Пойнтинга.
вектор направлен в сторону распостранения эл. магн. волны , а его модуль равен энергии переносимой эл.иагн. волной за единицу времени через единичную площадку перпендикулярную направлению распостранения волны. S=[EH].
-
Волновой пакет.
Волновым пакетом называется суперпозиция волн, мало отличающихся друг от друга по частоте, занимающая в каждый момент времени ограниченную область пространства.
-
Групповая скорость.
это скорость движения волн группы волн образующих в каждый момент времени локализованый в пространстве волновой пакет.
-
Стоячие волны.
это волны образующиеся при наложении двух бегущих волн, распостраняющихся навстречу друг другу с одинаковыми амплитудами и частотами.
-
Эффект Допплера.
Эффектом доплера называется изменение частоты колебаний, воспринимаемой приёмником, при движении источника этих колебаний и приёмника друг относительно друга.
















