Типовой Расчет (2-й семестр) 20 Вариант (1018633), страница 2
Текст из файла (страница 2)
Решение
Найдем собственные векторы и значения для матрицы
Составим характеристическое уравнение
При
получаем первый собственный вектор
При
получаем второй собственный вектор
При
получаем третий собственный вектор
Задача 3.4
1) Какое из перечисленных линейным оператором в пространстве
2) Найти матрицу оператора в каноническом базисе пространства
.
3) Найти собственные значения и собственные векторы оператора. Является ли данный оператор оператором простого типа?
4) Найти ядро оператора.
5) Обратим ли данный оператор? Если да, найти обратный оператор.
Решение
Возьмем два вектора
и
, тогда получаем:
Значит, оператор
не является линейным
Значит, оператор
не является линейным
Значит, оператор
является линейным
Матрица данного оператора есть
По определению ядро линейного оператора
есть множество всех векторов
, которые
переводит в нулевой вектор. Это означает, что
состоит из векторов, координаты которых
удовлетворяет условию:
Тогда, получаем
Так как ядро состоит не только из тривиального элемента, значит, определитель матрицы С равен 0, значит, оператор
не имеет обратного.
Найдем собственные значения и собственные вектора
При
получаем первый собственный вектор
При
получаем второй собственный вектор
При
получаем третий собственный вектор
Так как все собственные значения линейного оператора
действительны и различны, то оператор
- оператор простого типа.
Задание 3.5
Пусть
- линейные операторы в пространстве
. Найти:
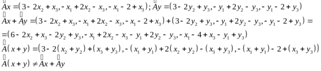
Решение
Матрица оператора
есть
. Матрица оператора
есть
Тогда, матрица оператора
имеет вид
Задание 3.6
1) Доказать, что
линейный оператор в пространстве
многочленов степени не выше п.
2) Найти его матрицу в каноническом базисе.
3) Существует ли обратный оператор к
? Если да, то найдите его матрицу в том же базисе.
4) Найдите ядро оператора
, то есть множество
Решение
Множество всех функции из
есть
. Найдем действие оператора
Покажем, что оператор
является линейным
Значит, оператор
является линейным
Матрица данного оператора имеет вид
Так как определитель данной матрицы равен 0(есть нулевая строка), то обратной матрицы не существует
По определению ядро линейного оператора
есть множество всех многочленов, которые
переводит в нулевой многочлен. Это означает, что
состоит из многочленов, коэффициенты которых
удовлетворяет условию:
, при этом
может быть любым, значит,
.
Задание 3.7
Найти собственные значения и собственные векторы линейного оператора, заданного матрицей А. Доказать, что это оператор простого типа, привести его матрицу к диагональному виду (найти матрицу перехода к собственному базису и сделать проверку). Вычислить
для любого п
N.
Решение
Найдем собственные значения и собственные вектора
При
получаем первый собственный вектор
При
получаем второй собственный вектор
Так как все собственные значения линейного оператора действительны и различны, то оператор - оператор простого типа.
Приведем матрицу к диагональному виду
Составим матрицу из базисных собственных векторов
. Тогда, получаем, что матрица
в новом базисе будет равна
Определитель ∆=-1*1+7*1=6
Найдем алгебраические дополнения
Задание 3.8
Оператор
действует в пространстве матриц, образующих линейное подпространство М в пространстве всех квадратных матриц второго порядка.
1) Доказать, что
— линейный оператор.
2) Найти матрицу оператора
в каком-нибудь базисе пространства М.
3) Найти собственные значения и собственные векторы оператора А (напомним, что в данном случае векторами являются матрицы).
4) Доказать, что
- оператор простого типа, указать базис из собственных векторов.
Решение
Покажем, что оператор
является линейным
Значит, оператор
является линейным
Задача 4.1
1) Привести се к каноническому виду методом Лагранжа, выписав соответствующее преобразование переменных.
2) Привести ее к каноническому виду ортогональным преобразованием.
3) Проверить закон инерции квадратичных форм на примерах преобразований, полученных в п.п.1)—2).
4) Какая поверхность задастся уравнением
Решение
1)
Сделаем замену
2) Матрица данной квадратичной формы имеет вид
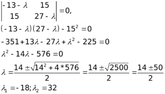
Найдем собственные значения
Тогда, квадратичную форму можно привести ортогональным преобразованием к виду
Задание 4.2
Выписать квадратичную форму с данной матрицей А. Привести ее к каноническому виду, определить ранг, положительный и отрицательный индексы в зависимости от значений параметра а. При каких значениях а форма положительно определена?
Решение
Задание 4.3
Привести уравнение кривой второго порядка к каноническому виду. Сделать чертеж.
Решение
Матрица квадратичной формы имеет вид:
Собственные значения находим из уравнения
Для нахождения координат собственных векторов
и
(индекс соответствует индексу собственного значения) имеем две системы уравнений:
Решив последние системы, получим собственные векторы в нормированной форме:
Старые переменные связаны с новыми соотношениями:
Тогда, получаем
Данная кривая гипербола. Построим ее.
Задание 5.1
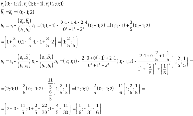
В пространстве V3 геометрических векторов с обычным скалярным произведением векторы базиса
заданы координатами в базисе
1) Найдите матрицу Грама
скалярного произведения в этом базисе. Выпишите формулу для длины вектора через его координаты в базисе
.
2) Ортогонализуйте базис
. Сделайте проверку ортонормированности построенного базиса
выписав координаты векторов из
в каноническом базисе
Решение
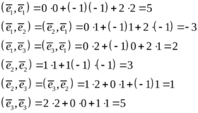
1) Найдем матрицу Грама для данного базиса
Тогда, матрица Грама имеет вид
Применим процесс ортогонализации Грама-Шмидта
Проверим правильность вычислении
Задание 5.2
Матрица Грама скалярного произведения Ge и ко ординаты векторов х и у заданы в базисе (
).
1) Найти длины базисных векторов и угол между ними.
2) Найти угол между векторами х и у.
Решение
1) Из матрицы Грама получаем
, тогда длины равны
. Угол между этими векторами равен
2) Найдем угол между векторами х и у















