Коммуникационные технологии (1017163), страница 2
Текст из файла (страница 2)
Таблица 1. Интернет-адрес в двоичной и десятичной форме
Все серверы Интернета имеют постоянные Интернет-адреса. Однако провайдеры Интернета часто предоставляют пользователям доступ в Интернет не с постоянным, а с временным Интернет-адресом. Интернет-адрес может меняться при каждом подключении к Интернету, но в процессе сеанса остается неизменным и пользователь может его определить.
Доменная система имен. Человеку запомнить числовой адрес нелегко, поэтому для удобства пользователей Интернета была введена доменная система имен, которая ставит в соответствие числовому Интернет-адресу компьютера уникальное доменное имя.
Доменная система имен имеет иерархическую структуру: домены верхнего уровня - домены второго уровня - домены третьего уровня.
Домены верхнего уровня существуют двух типов: географические и административные. Каждой стране мира выделен свой географический домен, обозначаемый двухбуквенным кодом. Например, России принадлежит географический домен ru, в котором российские организации и граждане имеют право зарегистрировать домен второго уровня.
Административные домены обозначаются тремя или более буквами и предназначены для регистрации доменов второго уровня организациями различных типов (табл. 2).
Таблица 2. Некоторые имена доменов верхнего уровня
Так, компания Microsoft зарегистрировала домен второго уровня Microsoft в административном домене верхнего уровня com, а Московский институт открытого образования - домен второго уровня metodist в географическом домене верхнего уровня ru.
Доменное имя сервера Интернета состоит из последовательности (справа налево) имен домена верхнего уровня, домена второго уровня и собственно имени компьютера. Так, основной сервер компании Microsoft имеет имя www.microsoft.com, а сервер института имеет имя iit.metodist.ru.
Каждый компьютер, подключенный к Интернету, имеет Интернет-адрес, однако он может не иметь доменного имени. Доменные имена имеют серверы Интернета, но доменного имени обычно не имеют компьютеры, подключающиеся к Интернету по телефонным линиям.
Маршрутизация и транспортировка данных по компьютерным сетям
Сеть Интернет, являющаяся сетью сетей и объединяющая громадное количество различных локальных, региональных и корпоративных сетей, функционирует и развивается благодаря использованию единого принципа маршрутизации и транспортировки данных.
Маршрутизация данных. Маршрутизация данных обеспечивает передачу информации между компьютерами сети. Рассмотрим принцип маршрутизации данных по аналогии с передачей информации с помощью обычной почты. Для того чтобы письмо дошло по назначению, на конверте указывается адрес получателя (кому письмо) и адрес отправителя (от кого письмо).
Аналогично, передаваемая по сети информация "упаковывается в конверт", на котором "пишутся" Интернет-адреса компьютеров получателя и отправителя, например: "Кому: 198.78.213.185", "От кого: 193.124.5.33". Содержимое конверта на компьютерном языке называется Интернет-пакетом и представляет собой набор байтов.
В процессе пересылки обыкновенных писем они сначала доставляются на ближайшее к отправителю почтовое отделение, а затем передаются по цепочке почтовых отделений на ближайшее к получателю почтовое отделение. На промежуточных почтовых отделениях письма сортируются, т. е. определяется, на какое следующее почтовое отделение необходимо отправить то или иное письмо.
Интернет-пакеты на пути к компьютеру-получателю также проходят через многочисленные промежуточные серверы Интернета, на которых производится операция маршрутизации. В результате маршрутизации Интернет-пакеты направляются от одного сервера Интернета к другому, постепенно приближаясь к компьютеру-получателю.
Маршрутизация Интернет-пакетов обеспечивает доставку информации от компьютера-отправителя к компьютеру-получателю.
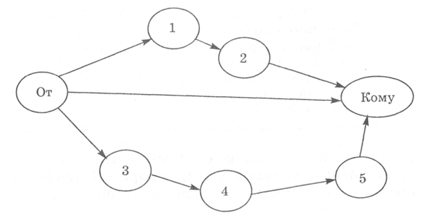
Маршруты доставки Интернет-пакетов могут быть совершенно разными, и поэтому первые Интернет-пакеты могут достичь компьютера-получателя в последнюю очередь. Например, в процессе передачи файла от сервера От к серверу Кому маршрут первого Интернет-пакета может быть От-1-2-Кому, второго - От-Кому и третьего - От-3-4-5-Кому (рис. 7).
Рис. 7. Маршрутизация и транспортировка данных
"География" Интернета существенно отличается от привычной нам географии. Скорость получения информации зависит не от удаленности сервера Интернета, а от маршрута прохождения информации, т. е. количества промежуточных серверов и качества линий связи (их пропускной способности), по которым передается информация от сервера к серверу.
С маршрутом прохождения информации в Интернете можно познакомиться с помощью специальных программ, которые позволяют проследить, через какие серверы и с какой задержкой передается информация с выбранного сервера Интернета на ваш компьютер.
Транспортировка данных. Теперь представим себе, что нам необходимо переслать по почте многостраничную рукопись, а почта бандероли и посылки не принимает. Идея проста: если рукопись не помещается в обычный почтовый конверт, ее надо разобрать на листы и переслать их в нескольких конвертах. При этом листы рукописи необходимо обязательно пронумеровать, чтобы получатель знал, в какой последовательности потом эти листы собрать.
В Интернете часто случается аналогичная ситуация, когда компьютеры обмениваются большими по объему файлами. Если послать такой файл целиком, то он может надолго "закупорить" канал связи, сделать его недоступным для пересылки других сообщений.
Для того чтобы этого не происходило, на компьютере-отправителе необходимо разбить большой файл на мелкие части, пронумеровать их и транспортировать в форме отдельных Интернет-пакетов до компьютера-получателя.
На компьютере-получателе необходимо собрать исходный файл из отдельных частей в правильной последовательности, поэтому файл не может быть собран до тех пор, пока не придут все Интернет-пакеты.
Транспортировка данных производится путем разбиения файлов на Интернет-пакеты на компьютере-отправителе, индивидуальной маршрутизации каждого пакета и сборки файлов из пакетов в первоначальном порядке на компьютере-получателе.
Время транспортировки отдельных Интернет-пакетов между локальным компьютером и сервером Интернета можно определить с помощью специальных программ.
Маршрутизация и транспортировка данных в Интернете производится на основе протокола TCP/IP, который является основным "законом" Интернета. Термин "TCP/IP" включает название двух протоколов передачи данных:
- TCP (Transmission Control Protocol - транспортный протокол);
- IP (Internet Protocol - протокол маршрутизации).
Список используемой литературы
-
Информатика и ИКТ. Учебник. 8-9 класс / Под ред. проф. Н.В. Макаровой / СПб.: Питер, 2008.
-
Информатика и информационные технологии. Учебник для 10-11 классов / Н.Д. Угринович. / М.: БИНОМ. Лаборатория знаний, 2006
-
Информатика: Учебник для вузов / Грошев А.С., 2010
11
















