Лекционный курс по основам информатики (1017139), страница 9
Текст из файла (страница 9)
– логическое сложение, описывает работу логического элемента ИЛИ.
Функция сложения по модулю два (исключающее ИЛИ, неравнозначность)
– сложение по модулю два, применяется для арифметического сложения
Функция Пирса, логическое сложение с отрицанием, отрицание дизъюнкции (стрелка Пирса, ИЛИ-НЕ)
– логическое сложение с отрицанием ИЛИ-НЕ
Функция Шеффера, отрицание логического умножения (штрих Шеффера И-НЕ)
– логическое умножение с отрицанием И-НЕ
Функции двух переменных исключительно важны в силу того, что любая логическая функция n переменных может быть получена из них методом суперпозиции – подстановкой этих функций в место переменных в другие функции.
4.9. Теоремы разложения
В теории логических функций особо важное значение имеет теорема разложения Шеннона: любую функцию F(v) можно разложить по переменной xp в форме:
По принципу двойственности получается двойственная теорема разложения:
С теоремой разложения связаны тождества
4.10. Представление логической функции в виде СДНФ и СКНФ
Логическая функция дизъюнктивной формы (ДФ): - представляет собой дизъюнкции отдельных членов, каждой из которых, в свою очередь, есть некоторая функция, содержащая только конъюнкции и инверсии.
- где f функция 3х переменных.
Логическая функция дизъюнктивной нормальной формы (ДНФ): - форма представления дизъюнктивной функции, в которой инверсия применяется лишь непосредственно к аргументам (переменным), но не к более сложным функциям от этих аргументов.
- где f функция 3х переменных.
Логическая функция совершенной дизъюнктивной нормальной формы (СДНФ): - если каждый член дизъюнктивной нормальной функции от n аргументов содержит все эти n аргументы, часть из которых входит в него с инверсией, а часть без нее.
- где f функция 3х переменных.
Логическая функция конъюнктивной формы (КФ): - представляет собой конъюнкцию отдельных членов, каждой из которых, в свою очередь, есть некоторая функция, содержащая только дизъюнкции и инверсии.
- где f функция 3х переменных.
Логическая функция конъюнктивной нормальной формы (КНФ): - форма представления конъюнктивной функции, в которой инверсия применяется лишь непосредственно к аргументам (переменным), но не к более сложным функциям от этих аргументов.
- где f функция трех переменных.
Логическая функция совершенной конъюнктивной нормальной формы (СКНФ): - если каждый член конъюнктивной нормальной функции от n аргументов содержит все эти n аргументы, часть из которых входит в него с инверсией, а часть без нее.
- где f функция 3х переменных.
4.10.1. Первичные термы
Терм - это переменные, инверсии переменных, их конъюнкция и дизъюнкция.
Первичные термы: - переменные и их инверсии.
Для первичных термов будем использовать обозначение
- где ep = 0 или 1. В общем случае
- подставляем сюда значения ep = 0 или 1 получим:
Такое обозначение облегчает формализацию общих соотношений для логических функций:
4.10.2. Минтермы и макстермы
Минтерм: - конъюнкция всех переменных, которые входят в прямом виде, если значение данной переменной в точке определения равно 1, либо в инверсном виде, если значение переменной равно 0.
Обозначение термов позволяет в общем виде записать конъюнкцию любого числа аргументов.
Минимальным термом – минтермом: - называется функция n переменных:
Из данного определения следует, что имеется 2n – различных минтермов n переменных т.к. минтерм представляет n разрядное двоичное число от 0 до 2n –1.
Запишем все минтермы двух переменных
Макстерм - это дизъюнкция всех переменных, которые входят в прямом виде, если значение данной переменной в точке области определения равно 0, либо в инверсном виде, если значение переменной равно 1.
Максимальным термом – макстермом: - называется функция n переменных
где v=(xn-1,…,x0),
ep = 0 или 1
Запишем все макстермы двух переменных
4.10.3. Запись функции в виде СДНФ и СКНФ
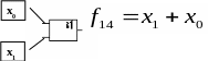
Возьмем функцию
двух переменных x1x0. Применим к ней терему разложения для переменной x1.
Далее каждую из функций
и
разложим по переменной x0.
Такая форма представления функции называется совершенной дизъюнктивной нормальной формой (СДНФ).
В общем виде представление функции в СДНФ:
Так как значение функции
то
если
и
если
отсюда СДНФ можно представить в виде:
где i1 – номера точек, в которых функция
.
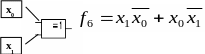
СДНФ можно получить аналогичным способом с помощью теоремы разложения. Но можно пойти более легким путем.
Возьмем инверсию СДНФ:
из данного соотношения на основании закона двойственности получим:
а так как
общий вид СКНФ:
Так как значение функции
то
если
и
если
отсюда СКНФ можно представить в виде:
где i0 – номера точек, в которых функция
.
4.10.4. Совершенные нормальные формы в базисах И-НЕ и ИЛИ-НЕ
Совокупность элементарных функций, с помощью которых можно записать любую функцию
, называется функционально полной системой функций или базисом. Из выше приведенного параграфа можно сделать вывод, что для представления любой функции
, в СДНФ и СКНФ достаточно использовать только функции (операции) И, ИЛИ и НЕ, т.е. совокупность этих функций является базисом.
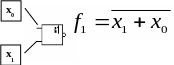
Преобразуем СДНФ функции с помощью законов двойного отрицания и де Моргана:
Данная форма представления функции называется совершенной нормальной формой (СНФ) в базисе И-НЕ, так как она требует использования только функций (операций) И-НЕ.
Проведем аналогичные действия с СКНФ:
Данная форма представления функций называется СНФ в базисе ИЛИ-НЕ, так как она требует использования только функций (операций) ИЛИ-НЕ.
4.11. Минимизация логических функций
Одной из основных задач, возникающих при синтезе комбинационных схем (КС), является минимизация логических функций, которые эти КС реализуют. Чем проще логическое выражение, описывающее функцию, тем проще и дешевле реализующая ее КС.
В качестве критерия сложности логического выражения, описывающего функцию, целесообразно принять числи первичных термов
, в него входящих.
Существуют два метода минимизации:
Vi
Vi
Vi














