Лекция 11 (1014397), страница 2
Текст из файла (страница 2)
Получим также формулу для смешанной производной:
Можно выразить и лапсиан:
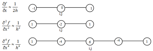
Информацию о коэффициентах при значениях функции в выражениях для конечно-разностных аналогов производных удобно представлять с помощью вычислительных шаблонов, являющихся диаграммами, показывающими, какой вклад вносят узлы сетки в рассматриваемую производную. Ниже приводятся вычислительные шаблоны для наиболее часто встречающихся производных.
Аналогично,
,
,
и т.д., например:
Из этих элементов строятся более сложные вычислительные шаблоны для дифференциальных уравнений. Сложение производных осуществляется суперпозицией соответствующих вычислительных шаблонов. Этим методом собраны вычислительные шаблоны для f и 2fприведенные ниже.
Напомним, что
Все приведенные вычислительные шаблоны имеют погрешность порядка h .
Следует отметить, что можно построить и более точные (имеющие меньшую погрешность) вычислительные шаблоны, если включить в рассмотрение дополнительные узлы. В основе всех построенных до сих пор вычислительных шаблонов лежит центрально - разностная аппроксимация. Иногда, чтобы свести к минимуму распространение ошибок, пользуются левыми и правыми разностями.
Вычислительными шаблонами следует пользоваться с осторожностью, так как построенное с их помощью разностное уравнение, аппроксимирующее дифференциальное уравнение в частных производных, при счете может оказаться неустойчивым.Разностная схема считается неустойчивой, если погрешность, каково бы ни было ее происхождение, с течением времени не убывает.
Границы неправильной формы
Нередко приходится иметь дело с областями неправильной формы. Хотя границы таких областей нельзя точно задать с помощью какой-либо одной из указанных сеток, существуют специальные методы, с помощью которых можно так модифицировать стандартные сетки, что они позволяют описать границу сложной конфигурации.
Вычислительные шаблоны для конкретного дифференциального уравнения в частных производных можно видоизменить так, чтобы учесть неправильную форму границ рассматриваемой области. Для этого, записывая производные в центрально-разностной форме, следует учесть вклад узлов, лежащих на границе области. В качестве примера рассмотрим вычислительный шаблон уравнения Лапласа в области ограниченной произвольной кривой.
Вторые частные производные для узлов, лежащих на границе области, можно записать в виде:
Сложив две производные, получимf. После ряда преобразований найдем:
Соответствующий вычислительный шаблон представлен ниже.
При а=в=1 получаем обычный вычислительный шаблон для уравнения Лапласа. Этот же метод применим для любого уравнения в частных производных, которое можно представить в форме вычислительного шаблона.
Методы решения.
Применив вычислительный шаблон к каждому изnузлов сетки, получим системуnуравнений, которая может быть линейной, если исходное уравнение имеет соответствующую структуру. В этом случае придется решать систему уравнений вида:
Обычно матрица коэффициентов оказывается разреженной (содержит много нулевых элементов), так как в большей части вычислительных схем используется лишь несколько соседних узлов, а не все узлы сетки.
Методы решения таких уравнений делятся на прямые и итерационные. Прямые методы позволяют получить точное решение, выполнив конечное число операций. Примером прямого метода может служить правило Крамера для решения совместных линейных алгебраических уравнений.
Обычно для больших систем уравнений прямые методы неэффективны, так как при их применении требуется выполнение огромного объема вычислений и очень большой объем памяти ЭВМ. Поэтому чаще всего пользуются итерационными методами. Сущность итерационных методов заключается в многократном повторении одного и того же простого алгоритма, который дает результат, постоянно приближающийся к точному решению. Итерации начинаются с задания начального приближенного решения. Затем начальные значения переменных в узлах сетки последовательно меняются, пока не достигается заданная точность решения.
Быстрота сходимости итерационного метода сильно зависит от степени точности начальной аппроксимации. Поэтому интуиция инженера может оказать большое внимание на эффективность вычислительного процесса.
Итерационные методы подразделяются на точечные и блочные. В первом случае алгоритм используется для модификации приближенного решения в одном узле сетки, покрывающей область. Во втором случае решение модифицируется сразу в группе узлов сетки. Наиболее часто применяемые точечные методы: Метод Якоби, метод последовательных смещений, метод последовательной верхней релаксации. Эти методы знакомы по курсу Численные методы и оптимизация, поэтому, здесь они рассматриваться не будут.
Рассмотрим пример решения дифференциального уравнения в частных производных.
Пример 3
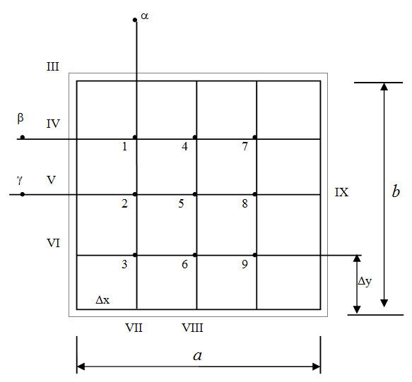
Определить прогибы прямоугольной шарнирно-опертой пластины при распределенной нагрузке, направленной перпендикулярно плоскости пластины.
Будем рассматривать изотропную пластину постоянной жесткости. Разрешающее уравнение такой пластины имеет вид:
где = (x,y) - функция прогибов,q = q (x,y) - поперечная распределенная нагрузка.
Здесь
– цилиндрическая жесткость.
Разделим пластину в каждом направлении на четыре части:
x = a /4, y = b / 4
Точки 1 - 9 - внутренние узловые.
Точки III - IX граничные точки.
Используем формулы (или шаблоны):
Точка 1.
В силу граничных условий имеем: I=II=III =IV= V= 0:
Последние два условия, записанные в конечных разностях, дают:
Откуда, с учетом
Получим: = - 1 , = - 1
Таким образом, алгебраическое уравнение, соответствующее первой узловой точке, принимает вид:
Точка 2.
В силу граничных условий: II = V= IV = VI=VI= 0, = -2и уравнение, соответствующе 2–ой узловой точке принимает вид:
Точка 5.
Для упрощения решения положим q=q0=const, x=y=a/4, a=b, т. е. имеем квадратную пластину при равномерном давлении и сетку с квадратной клеткой. Тогда из симметрии следует:
1=3=7=9; 2=4=6=9
Тогда разрешающая система алгебраических уравнений с учётом вида уравнений, построенных для узловых точек 1, 2 и 5 будет иметь вид:
- 162 + 25 = 201qa4 / 256 D
-161 + 282 — 85 = qa4 / 256 D (5.3.22)
81 —322 + 205 = qa4 / 256 D
Из решения этих уравнений имеем:
Максимальный прогиб (в точке 5):
Точное решение:
Ознакомившись с МКР, нельзя не отметить исключительную простоту и ясность его принципов. Поэтому может показаться удивительным, что после относительно короткого периода популярности и бурного развития ныне этот метод используется все реже.
Назовем три главные причины вытеснения этого метода из практики.
-
Решение систем вида, аналогичному системе из трёх уравнений
(5.3.22) рассмотренного примера выполняется очень быстро. Сложность кроется не в решении, а в составлении таких систем уравнений. В рассмотренных выше примерах мы, в целях упрощения, ограничивались прямоугольной областью. В большинстве практически важных задач область определения решения имеет более сложную форму (см рисунок).
В этом случае точки, в которых заданы граничные условия не всегда попадают на узловые точки равномерной сетки. Об этом мы говорили раньше. Кроме того, как мы убедились, при рассмотрении конкретных задач на границе могут задаваться не только значения некоторой функции, но и ее производные, или даже их комбинации. В результате помимо однотипных аккуратных уравнений типа (5.3.21) и (5.3.22) в систему вклиниваются уравнения совсем другого вида. В этом случае матрица системы уже имеет не такой простой вид и имеет ряд нестандартных строк.
Таким образом, первая причина первая – сложность задания граничных условий.
-
Очень часто решение дифференциального уравнения оказывается быстро меняющимся на одних участках и гладким на других.
Таково, например, решение задачи о краевом эффекте. Так в топливном баке, изображенном на рисунке, в зоне стыка цилиндрической обечайки шпангоута и сферического днища возникают изгибные деформации, которые быстро затухают по мере удаления от места стыка. Для того, чтобы численное решение на участке быстрого изменения функции было достаточно точным, шаг конечно-разностной сетки должен быть очень малым. В то же время на удалении от зоны краевого эффекта в использовании такого же мелкого шага нет никакой необходимости. Возникают два варианта решения проблемы:
-
во всей области задать малый шаг и получить систему с огромным количеством неизвестных
-
использовать переменный шаг и значительно усложнить выражения конечно-разностных аппроксимаций производных
Поэтому причина вторая – сложно обеспечить различную точность решения для различных участков области.
-
П
ри расчете прочности какой-либо реальной конструкции, оказывается, что для различных ее частей необходимо использовать различные дифференциальные уравнения.
Так, например, для крыла работа поясов лонжеронов хорошо описывается с помощью уравнений растяжения-сжатия стержня; для стенок лонжеронов и нервюр хорошей математической моделью являются уравнения плоской задачи теории упругости; для обшивки подходит безмоментная теория оболочек. Между тем каждая из этих теорий описывается различными дифференциальными уравнениями. Значит, конечно-разностные аппроксимации этих уравнений будут различными. Кроме того, основные неизвестные в этих системах дифференциальных уравнений могут оказаться различными по физическому смыслу. Следовательно, возникает проблема увязки решений друг с другом. Таким образом, третья причина вытеснения МКР – сложности, возникающие при объединении различных математических моделей в единую расчетную схему.
ри расчете прочности какой-либо реальной конструкции, оказывается, что для различных ее частей необходимо использовать различные дифференциальные уравнения. 















