Дзета-функция - Википедия (1014285), страница 2
Текст из файла (страница 2)
for every complex number s with real part > 1. There are a number of similar relations involving various well-known multiplicative functions; these are given in the article on the Dirichlet series.
The above, together with the expression for ζ(2), can be used to prove that the probability of two random integers being coprime is 6/π2. The Riemann hypothesis is equivalent to the claim that this expression is valid when the real part of s is greater than 1/2.
The Riemann zeta function as a Mellin transform
The Mellin transform of a function f(x) is defined as
in the region where the integral is defined. There are various expressions for the zeta-function as a Mellin transform. If the real part of s is greater than one, we have
By subtracting off the first terms of the power series expansion of 1/(exp(x) − 1) around zero, we can get the zeta-function in other regions. In particular, in the critical strip we have
and when the real part of s is between −1 and 0,
We can also find expressions which relate to prime numbers and the prime number theorem. If π(x) is the prime counting function, then
for values with
. We can relate this to the Mellin transform of π(x) by
where
converges for
.
A similar Mellin transform involves the Riemann prime counting function J(x), which counts prime powers pn with a weight of 1/n, so that
Now we have
These expressions can be used to prove the prime number theorem by means of the inverse Mellin transform. Riemann's prime counting function is easier to work with, and π(x) can be recovered from it by Möbius inversion.
Series expansions
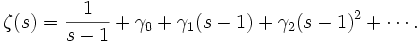
The Riemann zeta function is meromorphic with a single pole of order one at s = 1. It can therefore be expanded as a Laurent series about s = 1; the series development then is
The constants here are called the Stieltjes constants and can be defined as
The constant term γ0 is the Euler-Mascheroni constant.
Another series development valid for the entire complex plane is
where
is the rising factorial
. This can be used recursively to extend the Dirichlet series definition to all complex numbers.
The Riemann zeta function also appears in a form similar to the Mellin transform in an integral over the Gauss-Kuzmin-Wirsing operator acting on xs−1; that context gives rise to a series expansion in terms of the falling factorial.
Hadamard product
On the basis of Weierstrass' factorization theorem, Hadamard gave the infinite product expansion
where the product is over the non-trivial zeros ρ of ζ and
A = log(2π) − 1 − γ/2,
the letter γ again denoting the Euler-Mascheroni constant.
Globally convergent series
A globally convergent series for the zeta function, valid for all complex numbers s except s = 1, was conjectured by Konrad Knopp and proved by Helmut Hasse in 1930:
The series only appeared in an Appendix to Hasse's paper, and did not become generally known until it was rediscovered more than 60 years later (see Sondow, 1994).
Peter Borwein has shown a very rapidly convergent series suitable for high precision numerical calculations. The algorithm, making use of Chebyshev polynomials, is described in the article on the Dirichlet eta function.
Universality
The critical strip of the Riemann zeta function has the remarkable property of universality. This zeta-function universality states that there exists some location on the critical strip that approximates any holomorphic function arbitrarily well. Since holomorphic functions are very general, this property is quite remarkable.
Applications
Although mathematicians regard the Riemann zeta function as being primarily relevant to the "purest" of mathematical disciplines, number theory, it also occurs in applied statistics (see Zipf's law and Zipf-Mandelbrot law), physics, and the mathematical theory of musical tuning.
During several physics-related calculations, one must evaluate the sum of the positive integers; paradoxically, on physical grounds one expects a finite answer. When this situation arises, there is typically a rigorous approach involving much in-depth analysis, as well as a "short-cut" solution relying on the Riemann zeta-function. The argument goes as follows: we wish to evaluate the sum
, but we can re-write it as a sum of reciprocals:
|
|
|
|
| |
|
|
The sum S appears to take the form of ζ( − 1). However, −1 lies outside of the domain for which the Dirichlet series for the zeta-function converges. However, a divergent series of positive terms such as this one can sometimes be summed in a reasonable way by the method of Ramanujan summation (see Hardy, Divergent Series.) Ramanujan summation involves an application of the Euler-Maclaurin summation formula, and when applied to the zeta-function, it extends its definition to the whole complex plane. In particular
where the notation
indicates Ramanujan summation[2].
For even powers we have:
and for odd powers we have a relation with the Bernoulli numbers:
Zeta function regularization is used as one possible means of regularization of divergent series in quantum field theory. In one notable example, the Riemann zeta-function shows up explicitly in the calculation of the Casimir effect.
Generalizations
There are a number of related zeta functions that can be considered to be generalizations of Riemann's zeta-function. These include the Hurwitz zeta function
which coincides with Riemann's zeta-function when q = 1, the Dirichlet L-functions and the Dedekind zeta-function. For other related functions see the articles Zeta function and L-function.
The polylogarithm is given by
which coincides with Riemann's zeta-function when z = 1.
The Lerch transcendent is given by
which coincides with Riemann's zeta-function when z = 1 and q = 1.
The Clausen function Cls(θ) that can be chosen as the Real or Imaginary part of Lis(eiθ)
Zeta-functions in fiction
Neal Stephenson's 1999 novel Cryptonomicon mentions the zeta-function as a pseudo-random number source, a useful component in cipher design.
See also
-
L-function
-
Prime number theorem
-
Riemann hypothesis
-
Generalized Riemann hypothesis
-
Riemann-Siegel theta-function
-
Z function
-
Zipf's law
-
Zipf-Mandelbrot law
Notes
-
^ Ford, K. Vinogradov's integral and bounds for the Riemann zeta function, Proc. London Math. Soc. (3) 85 (2002), pp. 565-633
-
^ http://algo.inria.fr/seminars/sem01-02/delabaere2.pdf
References
-
Bernhard Riemann, Über die Anzahl der Primzahlen unter einer gegebenen Grösse (1859). In Gesammelte Werke, Teubner, Leipzig (1892), Reprinted by Dover, New York (1953).
-
Jacques Hadamard, Sur la distribution des zéros de la fonction ζ(s) et ses conséquences arithmétiques, Bulletin de la Societé Mathématique de France 14 (1896) pp 199-220.
-
Helmut Hasse, Ein Summierungsverfahren für die Riemannsche ζ-Reihe, (1930) Math. Z. 32 pp 458-464. (Globally convergent series expression.)
-
E. T. Whittaker and G. N. Watson (1927). A Course in Modern Analysis, fourth edition, Cambridge University Press (Chapter XIII).
-
H. M. Edwards (1974). Riemann's Zeta Function. Academic Press. ISBN 0-486-41740-9.
-
G. H. Hardy (1949). Divergent Series. Clarendon Press, Oxford.
-
A. Ivic (1985). The Riemann Zeta Function. John Wiley & Sons. ISBN 0-471-80634-X.
-
E. C. Titchmarsh (1986). The Theory of the Riemann Zeta Function, Second revised (Heath-Brown) edition. Oxford University Press.
-
Jonathan M. Borwein, David M. Bradley, Richard E. Crandall (2000). "Computational Strategies for the Riemann Zeta Function". J. Comp. App. Math. 121: p.11. (links to PDF file)
-
Djurdje Cvijović and Jacek Klinowski (2002). "Integral Representations of the Riemann Zeta Function for Odd-Integer Arguments". J. Comp. App. Math. 142: pp.435-439.
-
Jonathan Sondow, "Analytic continuation of Riemann's zeta function and values at negative integers via Euler's transformation of series", Proc. Amer. Math. Soc. 120 (1994) 421-424.
External links
-
Riemann Zeta Function, in Wolfram Mathworld - an explanation with more mathematical approach
-
Tables of selected zeroes
















