rpd000008102 (1011600), страница 3
Текст из файла (страница 3)
б)дополнительная литература:
1. Кудинов В. А. ,Карташов Э. М. «Термодинамика» учебное пособие для втузов, .М. , Высшая школа, 2005-261 с.
2. Кошкин В. К. , Михайлова Т. В. .Техническая термодинамика : учебное пособие.- М.:издательство МАИ, 2007 ,368 с.
в)программное обеспечение, Интернет-ресурсы, электронные библиотечные системы:
-
МАТЕРИАЛЬНО-ТЕХНИЧЕСКОЕ ОБЕСПЕЧЕНИЕ ДИСЦИПЛИНЫ
1. Лекционные занятия:
а. комплект электронных презентаций,
б. аудитории оснащенные презентационной техникой.
2. Практические занятия:
а. комплект электронных презентаций,
б. компьютерный класс кафедры,
в. презентационная техника.
3. Лабораторные работы:
а. лаборатория термодинамики кафедры 204 оснащенная натуральными экспериментальными установками,
б. рабочие места студентов у компьютеров,
в. плакаты по схемам экспериментальных установок,
г. презентационная техника (проектор, экран, ноутбук),
д. комплект электронных презентаций,
е. шаблоны отчетов по лабораторным работам.
4. Прочее:
а. рабочие места студентов, оснащенные компьютерами с доступом в интернет, предназначенные для работы в электронной образовательной среде,
б.комплекты контролирующих и обучающих программ.
Приложение 1
к рабочей программе дисциплины
«Термодинамика »
Аннотация рабочей программы
Дисциплина Термодинамика является частью Математического и естественно-научный цикл дисциплин подготовки студентов по направлению подготовки Проектирование авиационных и ракетных двигателей. Дисциплина реализуется на 2 факультете «Московского авиационного института (национального исследовательского университета)» кафедрой (кафедрами) 204.
Дисциплина нацелена на формирование следующих компетенций: ОК-9 ,ОК-10 ,ОК-19 ,ОК-21 ,ОК-23 ,ПК-9 ,ПК-12.
Содержание дисциплины охватывает круг вопросов, связанных с: изучением свойств рабочих тел и закономерностей взаимопревращения различных видов энергии
Преподавание дисциплины предусматривает следующие формы организации учебного процесса: Лекция, мастер-класс, Практическое занятие, Лабораторная работа.
Программой дисциплины предусмотрены следующие виды контроля: рубежный контроль в форме Тестирование и промежуточная аттестация в форме Зачет (4 семестр).
Общая трудоемкость освоения дисциплины составляет 2 зачетных единиц, 72 часов. Программой дисциплины предусмотрены лекционные (34 часов), практические (8 часов), лабораторные (8 часов) занятия и (22 часов) самостоятельной работы студента.
Приложение 2
к рабочей программе дисциплины
«Термодинамика »
Cодержание учебных занятий
-
Лекции
1.1.1. Введение. Структура курса. Предмет и задачи дисциплины. Место среди других наук (АЗ: 2, СРС: 0,5)
Тип лекции: Информационная лекция
Форма организации: Лекция, мастер-класс
1.1.2. Основные понятия и определения. Термодинамическая система. Параметры термодинамического состояния. Термодинамические процессы (АЗ: 2, СРС: 0,5)
Тип лекции: Проблемная лекция
Форма организации: Лекция, мастер-класс
1.2.1. Общие понятия об уравнениях состояния. Проявление межмолекулярных сил. Термические уравнения состояния идеального газа (АЗ: 2, СРС: 0,5)
Тип лекции: Информационная лекция
Форма организации: Лекция, мастер-класс
1.2.2. Термические уравнения состояния реального газа. Вириальные уравнения. Уравнение Ван-дер-Ваальса. Смеси и растворы (АЗ: 2, СРС: 0,5)
Тип лекции: Проблемная лекция
Форма организации: Лекция, мастер-класс
1.3.1. Формы движения и виды энергии. Способы энергомассообмена. Различные выражения первого закона термодинамики (АЗ: 2, СРС: 1)
Тип лекции: Информационная лекция
Форма организации: Лекция, мастер-класс
1.3.2. Теплоемкость. Её представление в справочной литературе. Соотношения между теплоемкостями. Теплоемкость газовых смесей (АЗ: 2, СРС: 1)
Тип лекции: Проблемная лекция
Форма организации: Лекция, мастер-класс
1.4.1. Сущность второго закона термодинамики. Различные формулировки закона. Вечный двигатель второго рода (АЗ: 2, СРС: 1)
Тип лекции: Информационная лекция
Форма организации: Лекция, мастер-класс
1.5.1. Различные формы записи объединенных уравнений. Характеристические функции и дифференциальные соотношения (АЗ: 2, СРС: 1)
Тип лекции: Информационная лекция
Форма организации: Лекция, мастер-класс
1.5.2. Соотношение между изобарной и изохорной теплоемкостями в общем случае (АЗ: 2, СРС: 1)
Тип лекции: Информационная лекция
Форма организации: Лекция, мастер-класс
1.5.3. Дифференциальные уравнения состояния, внутренней энергии, энтальпии и энтропии (АЗ: 2, СРС: 1)
Тип лекции: Проблемная лекция
Форма организации: Лекция, мастер-класс
1.6.1. Условия равновесия однородных и неоднородных систем (АЗ: 2, СРС: 1)
Тип лекции: Информационная лекция
Форма организации: Лекция, мастер-класс
1.6.2. Фазовые переходы I рода. Уравнение Клапейрона-Клаузиуса. Фазовые переходы II рода (АЗ: 2, СРС: 1)
Тип лекции: Проблемная лекция
Форма организации: Лекция, мастер-класс
1.7.1. Отличия реальных газов и паров от идеальных. Процессы парообразования. pv-диаграмма водяного пара (АЗ: 2, СРС: 1)
Тип лекции: Информационная лекция
Форма организации: Лекция, мастер-класс
1.7.2. Основные параметры воды и водяного пара. Таблицы водяного пара. Ts и hs диаграммы. Влажный воздух (АЗ: 2, СРС: 1)
Тип лекции: Информационная лекция
Форма организации: Лекция, мастер-класс
1.8.1. Основные уравнения процессов течения. Течение газа в каналах переменного сечения (АЗ: 2, СРС: 0,5)
Тип лекции: Информационная лекция
Форма организации: Лекция, мастер-класс
1.8.2. Скорость адиабатного потока. Истечение газа из сосуда неограниченной емкости (АЗ: 2, СРС: 0,5)
Тип лекции: Лекция с разбором конкретной ситуации
Форма организации: Лекция, мастер-класс
1.8.3. Дросселирование газов и паров. Кривые инверсии (АЗ: 2, СРС: 1)
Тип лекции: Лекция с разбором конкретной ситуации
Форма организации: Лекция, мастер-класс
-
Практические занятия
1.2.1. Уравнения состояния для идеальных и реальных газов. Смеси (АЗ: 2, СРС: 1)
Форма организации: Практическое занятие
1.3.1. Первый закон термодинамики. Теплоемкость. Теплоемкость газовых смесей (АЗ: 2, СРС: 1)
Форма организации: Практическое занятие
1.7.1. Определение основных параметров воды и водяного пара (АЗ: 2, СРС: 1)
Форма организации: Практическое занятие
1.8.1. Определение скорости и секундного расхода в процессе истечения (АЗ: 2, СРС: 1)
Форма организации: Практическое занятие
-
Лабораторные работы
1.2.1. Определение основных термодинамических свойств воздуха (АЗ: 4, СРС: 2)
Форма организации: Лабораторная работа
1.8.1. Адиабатное истечение газа через дозвуковое сопло (АЗ: 4, СРС: 2)
Форма организации: Лабораторная работа
-
Типовые задания
Приложение 3
к рабочей программе дисциплины
«Термодинамика »
Прикрепленные файлы
спец. т 5 6 7.docx
спец. т. 8.docx
Раздел “Термодинамика потоков жидкости и газа”
| 1 | При торможении адиабатного потока газа в диффузоре |
| ||||||||
| 2 | При ускорении адиабатного потока газа в сопле |
| ||||||||
| 3 | Температура торможения газа по длине сопла |
| ||||||||
| 4 | Температура торможения газа по длине диффузора |
| ||||||||
| 5 | Если число Маха потока газа М > 1, то для ускорения потока требуется |
| ||||||||
| 6 | Если число Маха потока газа М < 1, то для ускорения потока требуется |
| ||||||||
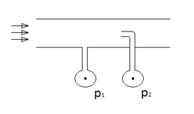
| 7 | При движении потока газа измеряются показания двух манометров, приведенных на рисунке. Как будут соотноситься их показания? |
| ||||||||
| 8 | Критическое отношение давлений ßкр = р/р” зависит от… Здесь и далее p” – давление торможения |
| ||||||||
| 9 | При истечении газа из сужающегося сопла в дозвуковой области истечения (ßкр < p/ p” < 1) давление на среде сопла будет равно |
| ||||||||
| 10 | При истечении газа из сужающегося сопла в дозвуковой области истечения (0 ≤ p/ p”≤ ßкр), давление на срезе сопла будет равно |
| ||||||||
| 11 | При истечении газа из расчетного сопла Лаваля давление газа на срезе будет равно |
| ||||||||
| 12 | Какая структурная формула правильно описывает поведение скорости истечения из сужающегося сопла в дозвуковой области истекания ( ßкр < p/ p” < 1) ? здесь и далее T” – температура торможения |
| ||||||||
| 13 | Какая структурная формула правильно описывает поведение скорости истечения из сужающегося сопла в сверхзвуковой области (0 ≤ p/ p” ≤ ßкр)? |
| ||||||||
| 14 | Какая структурная формула правильно описывает поведение массового секундного расхода при истечении газа из сужающегося сопла в дозвуковой области истечения ( ßкр < p/ p” < 1) ? |
| ||||||||
| 15 | Какая структурная формула правильно описывает поведение массового секундного расхода при истечении газа из сужающегося сопла в сверхзвуковой области истечения (0 ≤ p/ p” ≤ ßкр)? |
| ||||||||
| 16 | Какая структурная формула правильно описывает поведение скорости истечения из сопла Лаваля в сверхзвуковой области истечения (0 ≤ p/ p” ≤ ßкр)? |
| ||||||||
| 17 | Какая структурная формула правильно описывает поведение секундного расхода при истечении газа из сопла Лаваля в дозвуковой области истечения (ßкр < p/ p” < 1) ? |
| ||||||||
| 18 | По какой формуле возможно рассчитать скорость истечения водяного пара? |
|
















