ОКПиМ РЭС (лекции, ч.1).doc (1002250), страница 2
Текст из файла (страница 2)
- сигнал, сопряженный по Гильберту.
В
заложена вся информация об АМ.
Ф-ла (1) является математической моделью идеального детектора, ф-ла (2) – мат. моделью идеального фазового детектора.
Ф-ла (3) – математическая модель идеального фазового детектора.
При таком описании сигнала исключается множитель
, который является переносчиком информации.
Моделирование по методу комплексной огибающей сводится к разработке алгоритма, связывающего комплексные огибающие на входе и выходе.
Получаемая модель является низкочастотной, так как комплексная огибающая сигнала – это медленно меняющаяся во времени функция.
В методе экономится машинное время и память.
Моделирование процесса преобразования комплексной огибающей сигнала линейной цепью.
Сигнал на выходе связан с входным воздействием: (интеграл Дюамеля):
- импульсная характеристика цепи.
Для низкочастотного эквивалента цепи можно записать:
- комплексная импульсная характеристика.
Комплексную огибающую на выходе линейной цепи можно промоделировать прямо по формуле (5) (в универсальной ЭВМ, где есть представление комплексных чисел).
В случае (5) по сравнению с (4) количество операций сложения и умножения будет больше. Можно разработать рекурентные соотношения, с помощью которых можно будет моделировать быстрее, но не точнее.
Если в ЭВМ нет представления комплексных чисел, то фильтр с импульсной характеристикой
можно будет промоделировать с помощью четырех фильтров, имеющих действительные импульсные характеристики.
- прямое преобразование Лапласа.
Схема вычисления комплексной огибающей на выходе линейной цепи.
Чему равна комплексная импульсная характеристика
Реальная цепь
Модель
Спектр физического сигнала:
Спектр комплексной огибающей
Комплексная импульсная характеристика равна половине комплексной огибающей реальной импульсной характеристики.
Модель резонансного усилителя на основе принципиальной схемы.
Запишем частотную характеристику
- эквивалентная добротность контура.
Запишем укороченную частотную характеристику:
Если ввести обозначение
, получим
(*)
Тогда для ф-лы (*) получим
Использование метода комплексной огибающей для моделирования РПрУ на основе функциональной схемы
ВЦ, УВЧ
ПЧ
1. Входные цепи и УВЧ описываются частотной характеристикой и временной характеристикой – импульсной
- Спектральный метод описания звена
- Временной метод описания
- Описание с помощью дифференциальных уравнений
2. Усилитель промежуточной частоты
3. АД – детектор огибающей
Цифровое моделирование линейных узлов р/устройств
Моделирование линейных узлов возможно на основе:
-
ДУ;
-
Временного представления сигналов;
-
Спектрального представления сигналов;
-
Методов цифровой фильтрации.
Основные характеристики и свойства цифровых фильтров (ЦФ)
Предаточная функция цифрового фильтра:
Импульсная характеристика равна
Импульсная характеристика
и передаточная функция
связаны между собой парой Z-преобразований
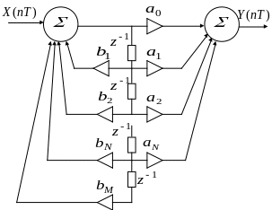
Уравнение, связывающее входные и выходные величины, для нерекурсивного фильтра имеет вид:
Этой формуле соответствует схема
- задержка на один такт моделирования.
Определим передаточную функцию нерекурсивного фильтра, взяв Z-преобразование для (6)
Уравнение, связывающее входные и выходные величины для рекурсивного фильтра, имеет вид:
Передаточная функция
нерекурсивного фильтра является многочленом переменной
, а передаточная функция рекурсивного фильтра – дробно-рациональной функцией переменной
.
Схема вычислений, соответствующая рекурсивному фильтру (2):
Это – схема исходная или прямая.
Каноническая схема
По сравнению с прямой (или исходной) схемой число задержек на Т уменьшено.
Последовательная схема
Схема представляет собой последовательное соединение фильтров с передаточными функциями
:
Передаточная функция
может быть представлена в виде:
Чем выше порядок фильтра, тем меньше проигрыш последовательного фильтра по сравнению с каноническим.
Параллельная схема.
По этой схеме вычисления входной сигнал поступает на вход фильтров
, а выходные сигналы фильтров складываются.
Передаточная функция цифрового фильтра может быть записана:
Так же, как и последовательная схема, параллельная немного проигрывает канонической схеме вычислений. Чем выше порядок фильтра, тем меньше проигрыш.
По времени любая схема рекурсивного фильтра лучше, чем нерекурсивного. При помощи рекурсивного фильтра целесообразно моделировать узлы с импульсной характеристикой, протяженной во времени (например, фильтры высоких частот); при помощи нерекурсивного фильтра – моделировать узлы с быстрозатухающей или ограниченной во времени импульсной характеристикой (например, дифференцирующие устройства, низкочастотные фильтры, согласованные фильтры). Нерекурсивные фильтры, в силу того, что передаточная функция не имеет полюсов, а импульсная характеристика ограничена во времени, всегда устойчивы. Рекурсивные фильтры могут быть неустойчивы, причем, если моделируемое устройство является устойчивым, то полученная цифровая модель может быть неустойчивой (в частности, из-за неправильно выбранного метода построения модели).
Методы составления цифровых моделей линейных устройств
При цифровом моделировании АУ входной и выходной сигналы в модели представляются как решетчатые функции:
Идеальная цифровая модель обеспечивает
Практически обеспечивается
Моделируемое устройство может быть описано, например, с помощью передаточной функции:
По
можно определить импульсную характеристику. Если полюсы простые, то:
Метод инвариантности импульсной характеристики
При использовании этого метода обеспечивается равенство (с точностью до коэффициента Т) импульсной характеристики цифровой модели и импульсной характеристики моделируемого устройства в дискретные моменты времени:
Передаточная функция ЦМ может быть получена как Z-преобразование:
Эта формула соответствует нерекурсивной схеме фильтра, где коэффициенты определяются как:
Построение модели в виде нерекурсивного фильтра удобно в том случае, если число коэффициентов
, отличных от нуля, мало (т.е. импульсная характеристика моделируемого линейного устройства ограничена во времени (НЧ-фильтры)). В противном случае для построения модели надо взять число ячеек.
Можно использовать рекурсивный алгоритм вычислений.
Импульсная характеристика:
- сумма членов геометрической прогрессии вида:
Если реализовать формулу (8) непосредственно, то получим схему вычислений в виде параллельного фильтра.
Каждое звено в этой схеме – это рекурсивный фильтр.
Если
имеет пару комплексно-сопряженных полюсов, то вычеты будут комплексно-сопряженными.
могут быть представлены в этом случае в виде передаточной функции фильтра второго порядка с действительными коэффициентами
Пример.
Разработать цифровую модель инерционного звена по методу инвариантности импульсной характеристики.
В этом методе не гарантируется совпадение других характеристик.
Переходная характеристика моделируемой схемы (аналогового устройства):
В нашей модели при подаче 1 в момент времени
получаем
.
Чтобы ошибка была меньше, нужно, чтобы
.
Метод ИИХ не может быть использован, когда
не имеет полюсов, или когда число полюсов меньше или равно числу нулей.
Метод инвариантности переходной характеристики
При использовании этого метода обеспечивается равенство переходной характеристики цифровой модели и моделируемого устройства в дискретные моменты времени.
Передаточная характеристика цифрового фильтра:
Формула (9) приводит к параллельной схеме вычислений:
Пример.
Разработать цифровую модель инерционного звена по методу инвариантности переходной характеристики.
ля 















