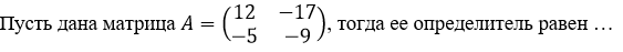
Пусть дана матрица А=12 -17 -5 -9, тогда ее - Ответ на вопрос по Высшая математика №220047
-11%
Вопрос
Пусть дана матрица А=12 -17 -5 -9, тогда ее определитель равен ...
Ответ

Важен лишь масштаб деяний. Их абсолютная величина. Знак же значения не имеет. Минус легко меняется на плюс, и наоборот. Вот только ноль ни на что никогда не меняется.
online























