Ответ на вопрос №6434: Определить как ведет себя метод простой итерации для линейной системы. сходится расходится Определить как ведет себя метод простой итерации для линейной системы. - Ответ на вопрос №6434Определить как ведет себя метод простой итерации для линейной системы. - Ответ на вопрос №6434
2023-12-252023-12-25СтудИзба
Определить как ведет себя метод простой итерации для линейной системы. - Ответ на вопрос №6434
-47%
Вопрос
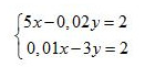
Определить как ведет себя метод простой итерации для линейной системы.
- сходится
- расходится
Ответ

Хочешь зарабатывать на СтудИзбе больше 10к рублей в месяц? Научу бесплатно!
Начать зарабатывать
Начать зарабатывать
zzyxel


















