Ответ на вопрос №967500: Математическое ожидание непрерывной случайной величины равно: Математическое ожидание непрерывной случайной величины равно: - Ответ на вопрос №967500Математическое ожидание непрерывной случайной величины равно: - Ответ на вопрос №967500
2025-09-092025-09-09СтудИзба
Математическое ожидание непрерывной случайной величины равно: - Ответ на вопрос №967500
Вопрос
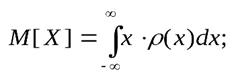
Математическое ожидание непрерывной случайной величины равно:Ответ
Этот вопрос в коллекциях
-61%
























