Упорядочите - Ответ на вопрос по теории вероятностей и математической статистике №247979
-26%
Вопрос
Упорядочите алгоритм действий решения задачи: Случайные величины X и Y распределены нормально. Требуется при уровне значимости 0,05 проверить нулевую гипотезу H0: M(X)=M(Y) при конкурирующей гипотезе Н1: M(X)≠M(Y). Данные задачи представлены в таблице.
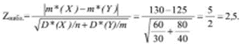
- Найдем наблюдаемое значение критерия Z по формуле:
![]()
- Находим критическую область: критическая область в этом случае двусторонняя (-Zкр., Zкр).
- Принимаем гипотезу H₀ при Zнабл. ∈ (-Zкр., Zкр)
- Найдем Zкр = Ф⁻¹((1-0,05)/2)=1,96 по таблице функции Лапласа Ф(х).
- Так как Zнабл.> Zкр, то H₀ отвергается и принимается гипотеза H₁: M(X)≠M(Y).
Ответ
Этот вопрос в коллекциях
-18%

Каждая купленная работа – это шаг к вашей успешной сдаче и мой стимул делать ещё лучше. Вместе мы создаём круговорот добра в учебе 🥰




















