Соотнесите - Ответ на вопрос по теории вероятностей и математической статистике №247857
-26%
Вопрос
Соотнесите понятия статистики с их характеристиками:A. Генеральная дисперсия
B. Генеральным средним квадратическим отклонением
C. Генеральная средняя
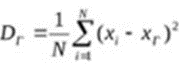
D. Выборочная дисперсия
E.
F.
G.
H. 
Ответ
Этот вопрос в коллекциях
-18%

Каждая купленная работа – это шаг к вашей успешной сдаче и мой стимул делать ещё лучше. Вместе мы создаём круговорот добра в учебе 🥰



















