Соотнесите - Ответ на вопрос по теории вероятностей и математической статистике №247781
-32%
Вопрос
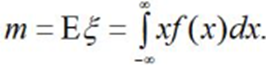
Соотнесите понятия теории вероятностей с их математическими выражениями:A. Математическое ожидание дискретной случайной величины
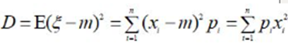
B. Дисперсия дискретной случайной величины
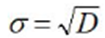
C. Среднеквадратическое отклонение
D. Математическое ожидание непрерывной случайной величины
E.
F.
G.
H. 
Ответ
Этот вопрос в коллекциях
-18%

Каждая купленная работа – это шаг к вашей успешной сдаче и мой стимул делать ещё лучше. Вместе мы создаём круговорот добра в учебе 🥰


















