Ответ на вопрос по схемотехнике №19937: 7. Каким будет Q(t+1), если Q(t) =0 ; S=1,R=1 ? 7. Каким будет Q(t+1), если Q(t) =0 ; S=1,R=1 ? - Ответ на вопрос по схемотехнике №199377. Каким будет Q(t+1), если Q(t) =0 ; S=1,R=1 ? - Ответ на вопрос по схемотехнике №19937
2024-02-032024-02-03СтудИзба
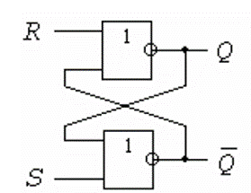
7. Каким будет Q(t+1), если Q(t) =0 ; S=1,R=1 ? - Ответ на вопрос по схемотехнике №19937
-47%
Вопрос
7. Каким будет Q(t+1), если Q(t) =0 ; S=1,R=1 ?
Ответ

Если нужен другой вариант работы или отдельная задача из любой работы, пишите в комментарии

















