Ответ на вопрос №733564: Задан автомат Мили. Определить эквивалентный ему автомат Мура Задан автомат Мили. Определить эквивалентный ему автомат Мура - Ответ на вопрос №733564Задан автомат Мили. Определить эквивалентный ему автомат Мура - Ответ на вопрос №733564
1,0051
2025-06-132025-06-13СтудИзба
Задан автомат Мили. Определить эквивалентный ему автомат Мура - Ответ на вопрос №733564
Вопрос
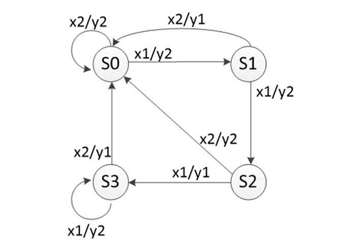
Задан автомат Мили. Определить эквивалентный ему автомат Мура

Ответ

Гарантия сдачи без лишних хлопот! ✅🎓 Ответы на тесты по любым дисциплинам, базы вопросов, работы и услуги для Синергии, МЭИ и других вузов – всё уже готово! 🚀 🎯📚 Гарантия качества – или возврат денег! 💰✅
meimei1337


















