Ответ на вопрос №330744: Чему равны корни системы уравнений: (1, 1) (1, -1) (-1, 1) (-1, -1) Чему равны корни системы уравнений: (1, 1) (1, -1) (-1, 1) (-1, -1) - Ответ на вопрос №330744Чему равны корни системы уравнений: (1, 1) (1, -1) (-1, 1) (-1, -1) - Ответ на вопрос №330744
2025-04-072025-04-07СтудИзба
Чему равны корни системы уравнений: (1, 1) (1, -1) (-1, 1) (-1, -1) - Ответ на вопрос №330744
-32%
Вопрос
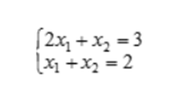
Чему равны корни системы уравнений:
- (1, 1)
- (1, -1)
- (-1, 1)
- (-1, -1)
Ответ
Этот вопрос в коллекциях

Гарантия сдачи без лишних хлопот! ✅🎓 Ответы на тесты по любым дисциплинам, базы вопросов, работы и услуги для Синергии, МЭИ и других вузов – всё уже готово! 🚀 🎯📚 Гарантия качества – или возврат денег! 💰✅


















