Ответ на вопрос №729463: Запишите систему уравнений Колмогорова для СМО, которая соответствует приведенному графу состояния. Какое уравнение системы соответствует состоянию S2? p0 ⋅ λ + p2 ⋅ 2μ − p1 ⋅ (λ + μ) = 0 p1 ⋅ λ − p2 ⋅ 2μ = 0 −p0 ⋅ λ + p1 ⋅ μ = 0 Запишите систему уравнений Колмогорова для СМО, которая - Ответ на вопрос №729463Запишите систему уравнений Колмогорова для СМО, которая - Ответ на вопрос №729463
2025-06-092025-06-09СтудИзба
Запишите систему уравнений Колмогорова для СМО, которая - Ответ на вопрос №729463
Вопрос
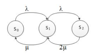
Запишите систему уравнений Колмогорова для СМО, которая соответствует приведенному графу состояния. Какое уравнение системы соответствует состоянию S2?

- p0 ⋅ λ + p2 ⋅ 2μ − p1 ⋅ (λ + μ) = 0
- p1 ⋅ λ − p2 ⋅ 2μ = 0
- −p0 ⋅ λ + p1 ⋅ μ = 0
Ответ

Гарантия сдачи без лишних хлопот! ✅🎓 Ответы на тесты по любым дисциплинам, базы вопросов, работы и услуги для Синергии, МЭИ и других вузов – всё уже готово! 🚀 🎯📚 Гарантия качества – или возврат денег! 💰✅
meimei1337
















