Ответ на вопрос №729452: Чему равно среднее число заявок в очереди СМО? nоч = 1p2 + 2p3 + 3p4 nоч = 1p1 + 2p2 + 3p3 + 4p4 nоч = 1p3 + 2p4 Чему равно среднее число заявок в очереди СМО? nоч = 1p2 + 2p3 + - Ответ на вопрос №729452Чему равно среднее число заявок в очереди СМО? nоч = 1p2 + 2p3 + - Ответ на вопрос №729452
2025-06-092025-06-09СтудИзба
Чему равно среднее число заявок в очереди СМО? nоч = 1p2 + 2p3 + - Ответ на вопрос №729452
Вопрос
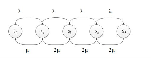
Чему равно среднее число заявок в очереди СМО?

- nоч = 1p2 + 2p3 + 3p4
- nоч = 1p1 + 2p2 + 3p3 + 4p4
- nоч = 1p3 + 2p4
Ответ

Гарантия сдачи без лишних хлопот! ✅🎓 Ответы на тесты по любым дисциплинам, базы вопросов, работы и услуги для Синергии, МЭИ и других вузов – всё уже готово! 🚀 🎯📚 Гарантия качества – или возврат денег! 💰✅
meimei1337


















