Ответ на вопрос по математике №594128: Выяснить, какие из перечисленных функций непрерывны в точке x = 0: Выберите один или несколько ответов: Выяснить, какие из перечисленных функций непрерывны в - Ответ на вопрос по математике №594128Выяснить, какие из перечисленных функций непрерывны в - Ответ на вопрос по математике №594128
2025-05-142025-05-14СтудИзба
Выяснить, какие из перечисленных функций непрерывны в - Ответ на вопрос по математике №594128
Вопрос
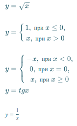
Выяснить, какие из перечисленных функций непрерывны в точке x = 0:Выберите один или несколько ответов:

Ответ

Если нужен другой вариант работы или отдельная задача из любой работы, пишите в комментарии
















