Ответ на вопрос по математике №594118: Выяснить какие из функций являются нечетными Выберите один или несколько ответов: Выяснить какие из функций являются нечетными Выберите - Ответ на вопрос по математике №594118Выяснить какие из функций являются нечетными Выберите - Ответ на вопрос по математике №594118
2025-05-142025-05-14СтудИзба
Выяснить какие из функций являются нечетными Выберите - Ответ на вопрос по математике №594118
Вопрос
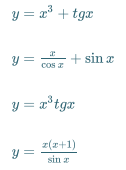
Выяснить какие из функций являются нечетнымиВыберите один или несколько ответов:

Ответ

Если нужен другой вариант работы или отдельная задача из любой работы, пишите в комментарии















