Ответ на вопрос по математике №22431: Для системы уравнений установите соответствие между характеристиками и их значениями: Для системы уравнений установите соответствие между - Ответ на вопрос по математике №22431Для системы уравнений установите соответствие между - Ответ на вопрос по математике №22431
2024-02-072024-02-07СтудИзба
Для системы уравнений установите соответствие между - Ответ на вопрос по математике №22431
-47%
Вопрос
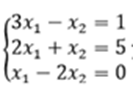
Для системы уравнений
установите соответствие между характеристиками и их значениями:
Blagodenstvie























