Ответ на вопрос по математике №21989: Уравнениями Бернулли являются Уравнениями Бернулли являются - Ответ на вопрос по математике №21989Уравнениями Бернулли являются - Ответ на вопрос по математике №21989
2024-02-062024-02-06СтудИзба
Уравнениями Бернулли являются - Ответ на вопрос по математике №21989
-47%
Вопрос
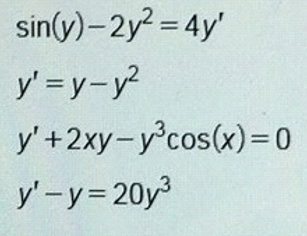
Уравнениями Бернулли являются
Ответ

Если нужен другой вариант работы или отдельная задача из любой работы, пишите в комментарии

















