Объем тела, образованного при вращении вокруг оси Ох - Ответ на вопрос по математике №21985
-42%
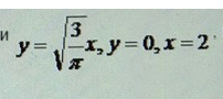
Вопрос
Объем тела, образованного при вращении вокруг оси Ох фигуры, ограниченной кривыми
Ответ

Если нужен другой вариант работы или отдельная задача из любой работы, пишите в комментарии

















