Ответ на вопрос по математике №21967: Уравнениями Бернулли являются Уравнениями Бернулли являются - Ответ на вопрос по математике №21967Уравнениями Бернулли являются - Ответ на вопрос по математике №21967
2024-02-062024-02-06СтудИзба
Уравнениями Бернулли являются - Ответ на вопрос по математике №21967
-47%
Вопрос
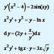
Уравнениями Бернулли являются
Ответ

Если нужен другой вариант работы или отдельная задача из любой работы, пишите в комментарии
















