Ответ на вопрос по математике №200248: Дана система уравнений Решая уравнение методом Крамера, какие действия необходимо совершить? Записать расширенную матрицу системы; выполнить элементарные преобразования; получить эквивалентную систему уравнений. Записать матричное уравнение; вычислить определитель матрицы; найти обратную матрицу; найти алгебраические дополнения; решить систему матричного уравнения. Найти определитель матрицы; найтиДана система уравнений Решая уравнение методом - Ответ на вопрос по математике №200248Дана система уравнений Решая уравнение методом - Ответ на вопрос по математике №200248
2024-11-232024-11-23СтудИзба
Дана система уравнений Решая уравнение методом - Ответ на вопрос по математике №200248
Вопрос
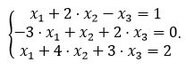
Дана система уравнений
Решая уравнение методом Крамера, какие действия необходимо совершить? - Записать расширенную матрицу системы; выполнить элементарные преобразования; получить эквивалентную систему уравнений.
- Записать матричное уравнение; вычислить определитель матрицы; найти обратную матрицу; найти алгебраические дополнения; решить систему матричного уравнения.
- Найти определитель матрицы; найти значения n определителей путем замены первого столбца коэффициентов столбцом из свободных членов; найти значение неизвестных через отношения советующих полученных определителей к определителю изначальной матрицы.
Ответ

Гарантия сдачи без лишних хлопот! ✅🎓 Ответы на тесты по любым дисциплинам, базы вопросов, работы и услуги для Синергии, МЭИ и других вузов – всё уже готово! 🚀 🎯📚 Гарантия качества – или возврат денег! 💰✅
meimei1337
















