Ответ на вопрос по математике №13076: Вычислить тройной интеграл 46 108 36π 2π Вычислить тройной интеграл 46 108 36π 2π - Ответ на вопрос по математике №13076Вычислить тройной интеграл 46 108 36π 2π - Ответ на вопрос по математике №13076
2024-01-132024-01-13СтудИзба
Вычислить тройной интеграл 46 108 36π 2π - Ответ на вопрос по математике №13076
-47%
Вопрос
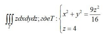
Вычислить тройной интеграл
- 46
- 108
- 36π
- 2π
Ответ

Хочешь зарабатывать на СтудИзбе больше 10к рублей в месяц? Научу бесплатно!
Начать зарабатывать
Начать зарабатывать
zzyxel






















