Ответ на вопрос по матиматике №926486: Если f(x) = x²e^(8x), то f ′(x) равна Если f(x) = x²e^(8x), то f ′(x) равна - Ответ на вопрос по матиматике №926486Если f(x) = x²e^(8x), то f ′(x) равна - Ответ на вопрос по матиматике №926486
2025-08-062025-08-06СтудИзба
Если f(x) = x²e^(8x), то f ′(x) равна - Ответ на вопрос по матиматике №926486
Вопрос
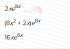
Если f(x) = x²e^(8x), то f ′(x) равна
Ответ

Гарантия сдачи без лишних хлопот! ✅🎓 Ответы на тесты по любым дисциплинам, базы вопросов, работы и услуги для Синергии, МЭИ и других вузов – всё уже готово! 🚀 🎯📚 Гарантия качества – или возврат денег! 💰✅
meimei1337
















