Ответ на вопрос по матиматике №926439: Для данных функций найдены пределы в точке. Соотнесите знасение предела функции Для данных функций найдены пределы в точке. Соотнесите - Ответ на вопрос по матиматике №926439Для данных функций найдены пределы в точке. Соотнесите - Ответ на вопрос по матиматике №926439
2025-08-062025-08-06СтудИзба
Для данных функций найдены пределы в точке. Соотнесите - Ответ на вопрос по матиматике №926439
Вопрос
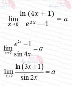
Для данных функций найдены пределы в точке. Соотнесите знасение предела функции
Ответ

Гарантия сдачи без лишних хлопот! ✅🎓 Ответы на тесты по любым дисциплинам, базы вопросов, работы и услуги для Синергии, МЭИ и других вузов – всё уже готово! 🚀 🎯📚 Гарантия качества – или возврат денег! 💰✅
meimei1337


















