Ответ на вопрос по матиматике №47070: Вертикальной асимптотой графика функции является: x=0 x=2 x=2 и x=0 Вертикальной асимптотой графика функции является: x=0 - Ответ на вопрос по матиматике №47070Вертикальной асимптотой графика функции является: x=0 - Ответ на вопрос по матиматике №47070
2024-03-242024-03-24СтудИзба
Вертикальной асимптотой графика функции является: x=0 - Ответ на вопрос по матиматике №47070
-42%
Вопрос
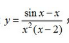
Вертикальной асимптотой графика функции является:
- x=0
- x=2
- x=2 и x=0
Ответ

Хочешь зарабатывать на СтудИзбе больше 10к рублей в месяц? Научу бесплатно!
Начать зарабатывать
Начать зарабатывать
zzyxel


















