Ответ на вопрос по матиматике №33873: Число размещений из п элементов по m в каждом вычисляется по формуле: Число размещений из п элементов по m в каждом - Ответ на вопрос по матиматике №33873Число размещений из п элементов по m в каждом - Ответ на вопрос по матиматике №33873
2024-02-292024-02-29СтудИзба
Число размещений из п элементов по m в каждом - Ответ на вопрос по матиматике №33873
-47%
Вопрос
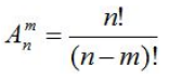
Число размещений из п элементов по m в каждом вычисляется по формуле:Ответ

Хочешь зарабатывать на СтудИзбе больше 10к рублей в месяц? Научу бесплатно!
Начать зарабатывать
Начать зарабатывать




zzyxel
























